BTC/HKD+2.78%
ETH/HKD+2.23%
LTC/HKD+3.33%
ADA/HKD+1.67%
SOL/HKD+5.06%
XRP/HKD+1.75% 
近期Kucoin被盜,okex不能提幣事件中,也已經充分暴露出中心化交易所的風險。
脆弱的中心化的交易所:
1.技術風險
服務器軟件漏洞、配置不當、DDoS攻擊、服務端Web程序漏洞、辦公電腦安全問題、內部人員攻擊等。很多交易所沒有災備級系統認證,在發生火災、地震、洪水時投資者數據一旦丟失,萬劫不復。
2.道德風險
中心化交易所的資產托管并沒有使用區塊鏈技術,不具備不可篡改、可溯源的特性,用戶需要先把資金轉入到交易所開辟的專門賬戶中,用戶對自己的資產沒有控制權。
中心化交易所信息不透明、不對稱,加之主體權益不一致,很容易發生交易所內部人員做出不利于其他投資者的行為。
3.法律風險
各個交易所以及相關人員在經營相關業務中,違反國家法律、行政法規和相關市場監管部門規定,從而受到法律的制裁而使交易所遭受損失。
某聰明錢在2小時前將8115.8萬枚LINK換成了64.1萬枚USDC:金色財經報道,SpotOnChains監測,某聰明錢在2小時前將8115.8萬枚LINK換成了64.1萬枚USDC,在短短1個月內獲利20萬美元。他善于交易LINK,總是在合適的時機低買高賣,過去曾獲利超過100萬美元。[2023/7/28 16:04:26]
交易所違反監管規定和原則而招致法律訴訟或者監管處罰,進而不利于交易所正常運營的風險。
由于法律或監管規定的變化,影響交易所正常運營或削弱其競爭力、生存能力的風險。
保險的剛需:?任何DeFi協議或者是交易所都是需要保險
最終來說,絕大多數的DeFi協議和中心化交易所都會將保險服務看作為協議服務的重要組成。唯有這樣,才能真正解決用戶的后顧之憂。
保險其實本質是在于風險對沖,最大化的彌補風險事件所帶來的各種損失。
保險賽道的新機遇:DeFi協議和中心化交易所
這種未來的可能性,對于保險賽道的項目來說,意味著巨大的機會。越來越多的中心化交易所為了吸引用戶,增強護城河,會將其收益的一部分置入保險市場,這意味著保險需求的增加,保費收益規模的增長。
法律專家:SEC針對Coinbase的論據不是特別有力:金色財經報道,美國證券交易委員會 (SEC)在7月7日致法官的一封信中預覽了其計劃針對Coinbase的論據。加密貨幣律師James Murphy在推特上表示,SEC針對Coinbase的論據很薄弱,因為它在信中引用了SEC訴LBRY等案件。在SEC于2022年11月勝訴的案件中,代幣發行商LBRY被指控以未注冊證券的形式提供加密貨幣。所引用案件的法官并未裁定在二級平臺上交易的代幣是證券。因此,Murphy認為,該案并不能充分支持SEC的論點。美國證券交易委員會依賴于康涅狄格州針對代幣發行商提起的不適用案件,而不是針對二級交易平臺。
Murphy補充說,監管機構在全面簡報期間可能會提出更好的案例法,但這并不是實力的標志。[2023/7/9 22:27:12]
此外,考慮到DeFi保險市場的更好的透明度和更好的流動性,DeFi相對于傳統行業的保險市場會有更高的滲透率。
下面我們介紹一下首個針對交易所被盜、倒閉、跑路等各種風險事件的:交易所信用CDS保險。
同時,INS3技術開發團隊還推出了保險范圍為CeFi、DeFi、穩定幣、IPFS云算力的DeFi保險產品,以迎合市場需求。
PEPE代幣24H漲逾40%,或與Gemini在推特上發布的短片相關:金色財經報道,PEPE在過去24小時內飆升了40%以上。幾個月前,該代幣是加密貨幣領域表現最好的代幣之一,幾乎每天都創下歷史新高。根據CoinGecko數據,PEPE的估值在昨日飆升約40%后觸及一個月高位。截至撰寫本文時,其市值已從6月21日的約4億美元上升至超過6.33億美元。推動模因幣價格上漲的一個因素可能是Gemini在Twitter上發布了一段短片,其中包含PEPE的徽標和可能的登月鏡頭。該視頻還暗示了熊市的結束,展示了BTC如何在美聯儲發起大規模印制法定貨幣等問題后取得勝利。[2023/6/22 21:54:16]
競品分析之1:超強保單流動性----CDStoken
與NXM保險不同,INS3的保單是CDS概念標準的ERC777代幣,可以在任意地方進行交易,客戶也可在任何時候可以退保。
此外,客戶將INS3將保單與USDT存在Moonswap以及Uniswap從而為保單CDStoken提供流動性,獲取LP,將LPtoken存入INS3即可以獲得INS3的代幣獎勵。

Celsius律師:Celsius或將CEL價值定為0.2美元,遠低于市場價:金色財經報道,已破產的加密貨幣貸方Celsius的律師表示,該公司可能將其CEL Token估值為20美分,遠低于其目前54美分的市場價值。[2023/2/16 12:09:26]
競品分析之2:多種精算與保費模型組合
與NXM將保費與staking金額掛鉤,利用staking的預期來為項目違約率進行定價的單一方式不同,INS3采用預期模型、KMV模型與自主鏈上評分卡三者結合的精算模型來確定保費。
先來介紹其中的KMV模型模型。
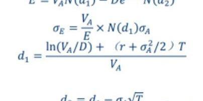
信用險的保費定價=保額×(無風險利率+違約率)。我們借鑒了美國成熟債券市場中的DRSK模型。根據KMV模型,

其中,V為公司資產價值,μ為資產價值漂移率,δ為其波動率,dW為標準維納過程。
假設債務期限為T,公司股權價值為E、負債為D,無風險利率為r,根據期權定價理論,
Coinbase Exchange將新增OP-USDT、ACH-USDT和BOND-USDT交易對:8月9日消息,Coinbase Exchange將為現有資產增加新的交易對。太平洋時間8月9日9點或之后,OP-USDT、ACH-USDT和BOND-USDT交易對將進入拍賣模式。[2022/8/9 12:12:29]

由此計算違約距離DD:

并估算最佳違約點參數:

其中,α為短期借款乘數,SD為公司短期借款,β為長期借款乘數,LD為長期借款。
在實踐中,我們將DeFi的鎖倉量以及交易所的公開熱錢包存幣量作為債務,平臺幣或者項目治理代幣的波動率作為波動率,建立和目前項目風險之間的映射關系。?
在模擬實踐中,INS3版本的KMV模型提前預測了9月13日的BZRX的被盜事件,在被盜前夕將預計保費由4.62%調升至13.66%。

再來介紹評分卡模型。INS3團隊借鑒defiscore的模型針對每個defi項目的鏈上信息制作了評分卡模型:

其中,智能合約風險權重占45%,抵押物風險占20%,流動性風險占10%,協議管理權風險占12.5%,預言機風險占12.5%。
通過評分卡,Defi項目的質量將更為量化,并反映在保費上。
INS3的精算模型融合預期模型、KMV模型以及評分卡模型進行精算定價,精細程度、精算的穩定性和準確性,相比NXM均有所提高。
競品分析之3:Staking&NFT
如果客戶想獲取穩定收益,可以參與INS3的staking來參與承保。與NXM強制質押90天不一樣,INS3的staking資本是一個NFT,可以在NFT交易平臺上自由轉讓。
如果不想轉讓,在資本充足率充足的情況下,staking資本可以隨時退出。如果資本充足率不充足,客戶可以注銷保單退出,像Kucoin保單一天保費漲幅達到321%的情況,注銷保單還可獲得盈利。

參與staking可獲取70%的保費分成,如果在5-10倍杠桿下,可獲取年化15%~350%的保費收入。

同時,參與staking還可以獲得INS3的代幣獎勵。

競品分析之4:?投資模式
INS3團隊目前是市場最大的DeFi清算團隊以及中心化和去中心化套利者之一,staking的資本會用于參與Dex和Cex之間的套利,從而實現staking資本的保值增值,盤活staking資本。
競品分析之5:?預言機
與NXM采用董事會初審+社區復審的形式來決定是否賠付的中心化的方式不同,INS3采用自建預言機的模式,任何人都通過API來判斷行情是否正確、資產是否安全、是否能提幣等原創綜合算法,從而判斷交易所是否出現安全事件。參與認證是一種行為挖礦,可以獲得挖礦獎勵。

競品分析之6:總結
INS3更具競爭力的:資本模型,投資模型,保險精算定價模型,相對NXM和Yinsure在去中心化程度和保險范圍上做了重大升級。

INS3與Web3.0對應,延續傳統保險1.0和互聯網保險2.0的演進路線,將保險帶入區塊鏈和智能合約托管的3.0時代。
將資本進行代幣化,代表著可不借助股票或者債券等金融工具就直接投資“保險公司”,并可以退出和交易。由此,一個“可裝卸”、“可編程”的“保險公司”出現了,這是區塊鏈帶來的生產關系進步。
INS3的全球團隊,憑借技術開發功底和保險精算領域經驗,通過了Conflux社區生態基金會的審核并獲得其資助,預計將于12月30日上線第一只保險產品:交易所信用CDS保險。?
INS3希望以DeFi+NFT+預言機+跨鏈的模式為去中心化保險生態帶來創新。
來源:金色財經
Tags:INSEFIDEFDEFIBINSValuedefi vSWAPDEFI S價格Defilancer token
? 東哥論幣12.14晚間以太坊行情分析與操作策略 順境也好,逆境也好,人生就是一場對種種困難的無盡無休的斗爭,一場以寡敵眾的斗爭.
1900/1/1 0:00:00金鼎財金:12.14ETH午間行情分析前言:財富的差距其實就是一個機遇,當你看到這篇文章的時候,也許能幫助你走出困境,何以解憂愁?唯有財金.
1900/1/1 0:00:00免責聲明 以下行情分析及見解僅代表老王個人觀點,僅供交流及參考,不構成投資建議,投資有風險,入市需謹慎.
1900/1/1 0:00:00今日資訊: 據TheBlock12月14日消息,歐洲是否會推進歐元的數字化,目前還沒有明確的決定。但歐洲央行領導層的一份新聲明暗示,該機構正在關注此舉對市場的潛在影響.
1900/1/1 0:00:00沒有不賺錢的行情,只有不會操作的人,貨幣投資需要的是一個循序漸進,而不是一夜暴富,老幣每日都會給出精準的行情分析和精確的短線策略.
1900/1/1 0:00:00金玥拾幣:12.14比特幣謹防插針以太坊最新行情走勢分析及操作策略 比特幣一路乘風破浪再次踏上了19000美元關口,經歷了上周幾天的大跌行情后局面扭轉給追空的朋友來了一個措手不及.
1900/1/1 0:00:00