BTC/HKD-1.28%
ETH/HKD-0.01%
LTC/HKD-0.07%
ADA/HKD-0.52%
SOL/HKD-0.79%
XRP/HKD-0.91%自2018年以來,Vitalik一直主張二次方融資(QF)作為一種在去中心化的、自組織的生態系統中生成最優公共產品供應的方法(Buterin、Hitzig和Weyl, 2018)。QF面臨的最具挑戰性的問題之一是共謀。例如,一個參與者或一組協調的參與者可能控制多個地址或共謀“游戲系統”,并在QF中提取不合理的補貼。
自2019年以來,Gitcoin Grants已經運行了多輪的QF。Gitcoin Grants使用了一種創新的方法:雙界協調補貼(pairwise-bounded coordination subsidies)(Buterin,2019)。然而,Zoudavid認為Buterin(2019)中的不協調系數(discoordination coefficient)的說明不是很直觀,也不太令人信服。此外,Buterin(2019)中的可調整參數(tweakable parameter)主要用于約束任何一對投資者的可提取價值,但在調整他們之間的共謀方面做得不夠。在《關于改善配對協調補貼的提議》(A Proposal to Improve Pairwise Coordination Subsidies)一文中,Zoudavid提出了一種新的方法來改進具有豐富經濟意義的配對協調補貼(pairwise coordination subsidies)。
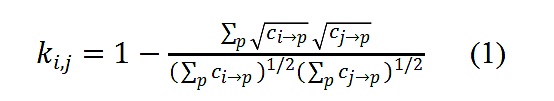
采用Buterin(2019)的符號,Zoudavid提出了一種新的不協調系數的規范:

其中

是向量i和j的不協調系數,

以及

表示投資者i和j對項目p的投資,

是所有項目的總和。不協調系數衡量的是衡量的是一對投資者在作出投資決策時的獨立性。有兩種視角來理解等式(1)的經濟含義。
一種視角是,考慮兩個向量

Aave DAO已開始對關于以太坊合并的提案進行投票:8月24日消息,Aave DAO已開始對關于在以太坊合并時支持PoS以太坊的提案進行投票。該提案呼吁Aave DAO僅支持在權益證明共識下運行的以太坊主網,而不是任何以太坊分叉。投票將在北京時間8月27日0:45結束。[2022/8/24 12:44:26]

,其中p表示項目的總數。

表示向量的模:


表示兩個向量的內積,


表示兩個向量之間的角度,則有,

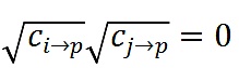
如果這兩個向量是正交的(如,

),那么

并且

從(1)-(4),很容易可以看出,

對于(5)來說,先考慮兩種比較極端的案例。
案例#1:對于每一個p,

rekt回應關于Fantom像是中心化賺錢計劃文章問題,刪除并致歉:3月11日消息,rekt 回應此前關于發布Fantom 像是中心化的賺錢計劃文章問題,并表示向所有讀者和受影響的協議道歉,同時刪除該文章。
rekt 此前發布文章表示,疑似由 Fantom 基金會控制的單一地址在過去 5 個月中總共發送了約 7.5 億個 FTM 被間接發送到 Binance 地址,同時用于激勵計劃的 6000 萬 FTM 并未由多簽地址管理,fUSD 也存在明顯風險,并進行了具體鏈上分析。基于這些發現,Fantom 看起來更像是一個中心化的賺錢計劃。這篇文章于發布后被多位 KOL 證實缺乏研究,多數陳述都可以被證偽。[2022/3/11 13:50:23]
,這意味著和沒有共有的投資,這就符合


(如,正交的向量)。在這個例子中,

,意味著i和j有最大的不協調性。
案例#2:如果存在一個

使得對于每一個p,有

,這意味著i和j做了同樣的投資決策。盡管他們可能有不同的投資金額,但有相同的資產配置決策的百分比。這符合

的情況(如,同一方向的向量)。在這種情況下,

,也就是和有最大的協調性。
其他的例子都落在案例#1和#2之間:
在0和

之間,

關于OKExChain測試網升級的公告:據官方消息:OKExChain今天上午對測試網升級,系統版本從0.16升級到0.17;測試網將停止8個小時左右,同時測試網會停止出塊,瀏覽器也會停止更新。[2021/4/12 20:09:43]
小于1。因此,

在0到1之間。
越大,不協調性越大。
另外一種視角是從概率論的角度理解
的含義。在事前,每個投資者的投資決定都是一個隨機變量。因此,向量

分別是i和j的事后現實的投資決策。在等式(1)中,

只是對他們的投資決策之間的相關系數進行了抽樣估計。協調系數越大,不協調系數就越小。
對于項目p來說,在協調調整過i和j的補貼是

當

或者說i和j是完美協調(perfect correlated)時,這個補貼為0。
從等式(6),Zoudavid定義了i和j從所有項目中提取的不協調系數調整后的補貼(discoordination adjusted subsidy,DAS)為

值得指出的是,要用(1)估計
,可以使用前幾輪二次方融資的樣本數據,而不僅僅是本輪。這樣,可以使不協調系數的估計更穩健,并減少對當前樣本量的限制。
假設對于任何一對投資者從所有項目中提取的總補貼引入一個上限。設B是普遍適用的上限。B類似于Buterin(2019)中的可調整參數。
給

加上上限B:與Buterin(2019b)相似,Zoudavid使用了下面的公式:
動態 | BM發表關于投票治理新方案的設想:今日BM 在電報群發表了關于投票治理的一個設想: 創建一個 VOTE 通證,通脹率為每年100%,并在每天進行拍賣活動,權重為(EOS質押數 * 質押天數 ^1.x),其中1 VOTE token= 1 票,總投票權重為 VOTEs ^1.y。 BM同時提出 4%通脹的 EOS 也可以采用以上方法進行拍賣,該方法的優勢是可以由那些抵押時間最長的人在投票治理中獲得主導權。同時,BM 建議只要有11 個出塊節點采用這種方式選出,其余11個則還是按照之前的方式來決定。[2019/6/22]

顯然,

。同樣與Buterin(2019)類似T,如果存在總補貼的特定水平,需要在滿足下列約束的情況下求解出B(N是投資者總數):

用數值方法不難求出等式(9)的解。
考慮一種情況:i和j做出了同樣的投資決策(如,存在一個

)。用Zoudavid的方法,他們將不會得到任何補貼。但用目前的方法,他們可以獲得大量的補貼,只是被可調整的參數所縮減。
用Buterin(2019)中描述的景象舉例。假設k個經過協調的代理人都向一個項目貢獻了一筆很大數額的資金w。由于他們是完美協調的,用Zoudavid的方法他們可以提取的資金是0。然而,用現存的方法他們可以提取的資金是

,其中M是可調整的參數。
Vitalik建議了這樣一種情況:假設有兩個贈款者A和B和三個項目A,B和C,其中有相同字母的捐贈者和項目對是相互串通的。現在假設A捐贈了X 0 X,以及B捐贈了0 X X。

。如果使用過去幾輪二次方融資的數據,

直布羅陀頒布關于數字貨幣的法律法規:1月1日,直布羅陀一項為保護數字貨幣自身聲譽和客戶權益的法規正式生效。根據該法規規定,基于區塊鏈技術的公司必須獲得GFSC(直布羅陀金融服務委員會)的許可。GFSC風險與革新部門負責人Nicky Gomez表示,GFSC是第一個與政府部門和金融服務行業合作推出DLT(分布式賬本技術)監管框架的監管機構。[2018/1/3]
可能會有不同的估計,而且可能會更準確。
不協調系數調整后的補貼是

,這正好是當前方法的一半水平。在把上界納入考慮之后,總的補貼是。用當前方法,總的補貼是

從上面的例子中可以清楚地看到,在當前的方法中,沒有對不協調的調整,只有對邊界的調整。
(1)優勢
Vbuterin認為該提議是非常有趣的洞見,其有趣之處在于用點積(dot product)來直接估計多個協調者之間的不相關關系。
(2)存在的不足
一方面,Vbuterin認為,本質上來說,任何一個代理人A總是可以通過簡單地創建一個項目并對他自己和代理人B進行一筆大金額的捐贈來提高他和B的不協調系數。如果每一個A都創建一個項目

,那么其點積就不會受到任何影響。因為不會有其他的人向

捐贈,但這會增加他們的

價值到無限大,使得分式為0并且對于所有的j

Vbuterin提出了約束的相關系數(bound-based correlation coefficient),其屬性是,兩個參與者向同一個項目捐贈會增加他們的相關分數(correlation score),但兩個參與者向不同的項目捐贈不會減少他們的相關分數。他認為如果Zoudavid想有一個系統,其中兩個參與者捐贈給不同的項目將減少他們的相關分數,那么需要以某種方式擊敗發送至自身的攻擊(send-to-self attack)。
而Zoudavid有針對性地提出,發送至自身的攻擊(send-to-self attack)并不會帶來很大的問題。并給出了三點理由。
首先,自發送攻擊代價高昂,因為攻擊者需要在他的“假”項目中鎖定大量資金。而與此同時,其回報將是有限的。假設攻擊者創建了一個只有他投資而沒有其他投資者投資的項目。的確,通過增加對這個項目的投資,他可以增加對他和其他投資者之間相關性的估計。然而,他可以從他的“假”項目中提取的補貼仍然是0。對于其他項目,由于攻擊而增加的補貼應該是非常有限的,而且這種增加不能被攻擊者獨享。
其次,在計算不協調系數時,可以簡單地排除任何只有一個投資者的項目。例如可以認為這些項目融資失敗,沒有資格獲得QF補貼。在法幣眾籌中,通常有一個門檻機制:任何一個項目在一定時間內無法獲得足夠的支持或資金承諾將被認為是失敗的,之后任何資金承諾將被返還。Zoudavid認為QF可以納入類似的機制。
最后,可以利用前幾輪QF的數據來估計不協調系數,使其估計受單個數據點的影響更小。
另一方面,Peter Watts察覺到協調懲罰(Coordination penalties)似乎依賴于一個假設:誠實的用戶會將資金分散到多個項目中,完美地反映出他們的偏好(即按比例為每個他們將獲得價值的項目提供資金)。而實際上,他懷疑許多用戶會因為方便或強烈的偏好而只投資一小部分。因此,真正的公共產品將會有很多高度相關的資助者,而得不到足夠的補貼。
(3)進一步探討
Vbuterin提出了一個方法,就是將重點再移開一步,不關注項目本身,而是關注向同一項目捐贈的一對捐贈者,并提出用3條規則來判斷:
1. 如果代理人i和j都向項目p捐贈那么他們是更加相關的;
2. 如果代理人i和j都向項目p和q捐贈,而存在某個代理人k也是都捐贈了p和q,那么i和j是更加相關的;
3. 如果代理人i和j都向項目p和q捐贈,而存在某個代理人k只捐贈了p或者q中的一個,那么i和j的相關性變弱。
規則(3)將在所有代理中進行匯總,因此,捐贈給你自己的項目比捐贈給其他100人也捐贈的項目所帶來的不相關要少得多。
Vbuterin提出用更復雜的矩陣乘法的使用來描述這個問題。如果M是一個(非正方形)矩陣,將個人貢獻的平方值映射到項目上,那么

會給出個人之間的原始相關性,然后可以做一些其他的事情來計算出高階測量,但是這個方法需要進一步考慮。
針對Vbuterin“高階相關測度(higher-order measures of correlation)”的建議,Zoudavid做了一些初步的研究。基本上,除了不同投資者之間的相關性,還應該考慮不同項目之間的相關性。就像協調的投資者傾向于做出相似的投資決策一樣,相關的項目也傾向于吸引相似的投資者群體。在利用投資數據估計投資者之間的相關性時,應該意識到項目之間的相互依賴性。對于此,Zoudavid提出奇異值分解(Singular Value Decomposition,SVD)是研究這一問題的合適工具。然而,該解決方案可能過于復雜,難以與投資者社區溝通。此外,解決方案可能容易過擬合。
Peter Watts認為當試圖減少欺詐時,最重要的是不要失去CLR的核心租戶。在完全基于協調懲罰的局部最大值確定之前,可能還有更多的機制可以探索,要么補充協調懲罰,要么取代它們。衡量成功的標準不應僅僅是減少欺詐的程度,還應是資金分配到真正的公共產品的程度。針對這個問題,他提出了幾個想法:
負的偏好(Negative preferences)
對于每個用戶來說,項目實際上可以分為三類:
A)我愿意資助的項目(高價值感知)
B)我沒有資助的項目,但不介意他們是否得到補貼(小價值感知)
C)我不想要補貼的項目(沒有/負價值)
目前,還沒有辦法區分B和C。也許UI可以允許用戶對某些項目投反對票(downvote),這些信息會影響補貼。其反對票只會影響沒有資助的項目之間的補貼分配。因此,否決所有其他項目就相當于否決零。而這源于這樣一個現實,即用戶不會為每一個能讓他們受益的項目提供資金。公共產品的本質是,它們中的許多人都喜歡給予小的、間接的好處,因此更容易識別那些明顯是欺詐性的或不可能以任何方式使之受益的項目。
給一些獨特貢獻者更高的權重
大多數攻擊通過貢獻大量的資源來利用執行超額影響的能力。這是因為在一個抗盜版的系統中,它比捐助者更容易積累資金。因此,降低“假”項目有效性的一個簡單方法是,為有更多貢獻者的項目提供更高的補貼。這限制了強烈偏好的影響,但值得權衡。
一個極端是,有CLR,它允許強烈的偏好,但很容易被共謀。另一個極端是,可以根據一個項目收到的獨特貢獻者的數量來劃分補貼。Peter Watts的想法是用一個系數來選擇這個光譜上的最佳點。
為解決在去中心化自治組織中最優公共產品供應的方法中存在的共謀問題,在Buterin(2019)提出了配對協調補貼的基礎上,Zoudavid提出了一種新的方法對這一具有豐富經濟意義的配對協調補貼進行了調整和改進,他提出了一種新的不協調系數的規范,并對配對邊界進行了調整,使得估計結果更加穩健。其與當前現有的方法相比,在對不協調進行調整之外,還對邊界進行了調整,使得補貼更為嚴格。該方法用點積來直接估計多個協調者之間的不相關關系,是一個突出亮點,但也同時存在潛在的應對發送至自身的供給的問題,以及真正的利益相關者得不到足夠補貼的問題。針對這一方法,還有很多值得探討和進一步深入挖掘的方向,包括“高階相關測度”和懲罰協調的機制等。
參考文獻
Buterin, Vitalik, Zo? Hitzig, and E. Glen Weyl, 2018, “Liberal Radicalism: A Flexible Design for Philanthropic Matching Funds”. URL:https://papers.ssrn.com/sol3/papers.cfm?abstract_id=32436561
Buterin, Vitalik, 2019b, “Pairwise Coordination Subsidies: A New Quadratic Funding Design”. URL: Pairwise coordination subsidies: a new quadratic funding design
原文作者: Zoudavid
討論者:Vitalik、Vbuterin、Peter Watts
貢獻者: Demo, DAOctor @DAOrayaki
原文: A Proposal to Improve Pairwise Coordination Subsidies
Tags:TERBUTRINDAVPTER價格ethyleneglycoldibutyletherloopringPANDAVS
rollups是什么?Optimism和ZK rollups有什么區別?Arbitrum與Optimism有何不同?為什么在擴展以太坊時.
1900/1/1 0:00:00隨著區塊鏈技術興起,公鏈作為基礎底層架構集中眾多Dapp,具有天然的流量優勢,成為區塊鏈行業重點深耕領域.
1900/1/1 0:00:00從基礎生態到應用場景,NFT(非同質化代幣)已掀起全面戰事,如同“寒武紀大爆發”催生出各式各樣的應用.
1900/1/1 0:00:002021年,正式進入NFT時代。新興的非同質化代幣NFT市場已經達到了引人注目的里程碑,交易量達到新高.
1900/1/1 0:00:00為什么項目方想要為其原生代幣提供流動性?從根本上說,擁有代幣的流動性很重要,因為它允許新投資者輕松地投資項目并讓不活躍的投資者退出。少一點流動性不會破壞一個強大的項目,而過多的流動性也只是徒勞.
1900/1/1 0:00:00原標題《Rock, Paper, Scisors Says GO!》(以下所表達的任何觀點均為作者個人觀點,不應作為投資決策的依據,也不應被解釋為對從事投資交易的建議或意見.
1900/1/1 0:00:00