BTC/HKD-0.73%
ETH/HKD-1.17%
LTC/HKD-1.74%
ADA/HKD-1.51%
SOL/HKD-2.47%
XRP/HKD+0.19%最近市場行情比較反復,但因為整體依舊是牛市環境,基差和資金費率都處于歷史較高的水平,這就存在較為可觀的套利空間,再加上歐易推出了統一賬戶功能,對大資金套利的資金利用率,有較為明顯的提升。所以,今天Odaily星球日報就來分享一個實用性比較強的套利策略,以及如何利用歐易的統一賬戶功能,將套利收益提升500%。套利策略——期現套利策略
套利的核心邏輯就是市場存在價差,因為牛市的原因,目前加密貨幣衍生品市場中,永續合約資金費率和現貨杠桿的固定利率,存在差異,使得永續合約與現貨杠桿交易之間存在一個套利空間。以實際情況為例,前幾天OKEx平臺上的幣本位保證金永續合約資金費率和借幣利率如下所示:


亞特蘭大聯儲銀行在一份報告中稱XRP為“國際支付媒介”:5月26日消息,亞特蘭大聯邦儲備銀行最近在一份的報告中,呼吁關注Ripple的商業模式以及該公司如何使用XRP滿足跨境結算需求。根據該行的說法,XRP被視為“一種國際支付媒介”。
該報告主要強調了Web3的前景和數字資產的使用。還強調了央行等公共機構對Web3和區塊鏈技術的采用率不斷提高,它提請人們注意Mariana項目,該項目是由國際清算銀行(BIS)、法國銀行和其他金融機構推出的概念驗證。在強調Mariana項目促進更高效的跨境結算目標是,該行提及了Ripple公司。
值得注意的是,這份報告并不是特別關注Ripple或XRP,而是更廣泛的Web3場景。此外,該文件并未明確表示亞特蘭大聯儲計劃使用XRP進行結算。(The Crypto Basic)[2023/5/26 9:43:55]
我們以等級為LV1的用戶為例,此時ETHUSDT永續合約在下一結算時刻的資金費率為0.282%,而ETH的借幣利率為0.05%,LV1等級用戶的交易手續費率為0.05%,此時存在的套利空間為0.282%-0.05%-0.05%*2=0.132%。當然,對于等級更高的專業用戶,其借幣利率和交易費率更低,意味著套利空間更大。套利的必要條件:即用戶可以收取的合約資金費率大于用戶支付的現貨杠桿利息。基于這一點,我們可以分別在幣幣杠桿交易和永續合約交易中建立一個倉位價值相同,頭寸方向相反的頭寸,實現浮動利率與固定利率間的套利。具體操作:1、當資金費率>0,且|資金費率|>借幣利率+手續費率,合約空頭可以向多頭收取資金費,即永續合約開空,現貨杠桿買入倉位價值相當的現貨2、當資金費率<0,且|資金費率|>借幣利率+手續費率,合約多頭可以向空頭收取資金費,永續合約開多,現貨杠桿賣入倉位價值相當的現貨資金利用率的重要性
比特幣資管公司Samara Asset Group向非營利開發社區Brink捐贈15萬美元:金色財經報道,專注于比特幣的另類資產管理公司Samara Asset Group向非營利比特幣開發社區Brink捐贈15萬美元。這筆捐款將用于向比特幣開發人員支付年薪。Samara承諾在未來三年繼續這項捐贈。(Bitcoin Magazine)[2023/4/30 14:35:07]
在解釋了套利的邏輯之后,我們會發現一個問題,即套利的風險雖然小,但是收益卻非常低,這就決定套利的資金體量,和套利資金的資金利用率非常重要。以傳統的分賬戶模式為例,假設你擁有0.2個ETH,為了更高地利用資金效率,則需要進行分倉,最佳策略是各將0.1ETH放置在杠桿交易賬戶和永續合約賬戶中,同時為了防止爆倉,每個賬戶中倉位的杠桿倍數最高設置為3倍,在ETH/USDT幣對下,用0.1ETH以3倍杠桿開多ETH,倉位價值共計0.3ETH,在幣本位永續合約中用0.1ETH以3倍杠桿做空0.3ETH,倉位價值共計0.3ETH。按照上述表格中的資金費率單日的套利收益是:0.282%*0.3ETH*3-0.005%*2*0.3ETH-0.05%*0.3ETH=0.002493ETH分倉后的單筆倉位收益是:0.002493ETH/0.1ETH=2.493%全倉單日收益是:2.493%/2=1.2465%整個過程中,我們發現制約收益的最大問題在于在分賬戶模式下,杠桿交易賬戶和永續合約賬戶是分開的,兩個賬戶不能共享保證金,無法實現盈虧相抵,用戶不得不降低杠桿倍數,以防止爆倉,使得分賬戶模式的整體資金利用效率低下,收益不高。套利收益提高500%
Flare團隊計劃空投FLR代幣:金色財經報道,Flare在社交媒體上稱,計劃空投FLR代幣,持有Wrapped FLR 的錢包可以領取前 6.76 億個 FLR,總共 242 億個 FLR 將在 36 個月中空投。根據目前的報價,價值約為 7.14 億美元。[2023/3/18 13:11:29]
而歐易新出來的統一賬戶單幣種保證金模式下,由于交割合約與杠桿交易可以共享保證金,并實現盈虧相抵,因此我們可以開設更高的杠桿。我們將杠桿拉滿,ETH/USDT杠桿交易中,最大杠桿倍數為10X;在幣本位永續合約中,最大杠桿倍數為75X。為了盡可能高地利用資金效率,我們可以通過解如下方程組來獲取各倉位的初始保證金:x+y=m;10x=75y其中,x為杠桿交易的初始保證金,y為永續合約的初始保證金,m為賬戶中該幣種資產的數量。在本案例中m為0.2,因此可解得x為0.023ETH,y為0.177。考慮到手續費、滑點等因素,我們在本案例中酌情處理,將x取值0.02ETH,y取值0.15ETH。因此,我們可以用0.15ETH以10倍杠桿做多ETH,倉位價值共計1.5ETH,在ETHUSD永續合約中用0.02ETH以75倍杠桿做空1.5ETH單日的套利收益是:0.282%*1.5ETH*3-0.005%*2*1.5ETH-0.05%*1.5ETH=0.012465ETH全倉單日收益是:0.012465ETH/0.17=7.33%那么在統一賬戶單幣種保證金模式下,該套利策略的爆倉風險有多高呢?保證金率=(該幣種全倉內余額+杠桿交易收益+永續合約收益)/(杠桿交易維持保證金+永續合約維持保證金)即
ANKR短時拉升超50%,現報價0.05美元:金色財經報道,據行情顯示,Web3 基礎設施提供商 Ankr Token ANKR 30 分鐘內拉升超 50%,現報價 0.05 美元。此前報道,微軟與Ankr合作為需要區塊鏈數據訪問的企業提供節點服務。[2023/2/21 12:20:23]

其中,m代表該幣種全倉內余額,n代表倉位價值,代表杠桿交易開倉價格,代表永續合約開倉價格,代表杠桿交易標記價格,代表合約交易標記價格,r代表維持保證金率。這里,我們設

這里的S可代表杠桿交易價格和永續合約價格的變化情況,那么此時

三箭資本聯創:三箭資本崩潰是由于FTX上頭寸被惡意清算:12月9日消息,三箭資本聯合創始人Kyle Davies表示,LUNA與UST的崩盤以及灰度基金的負溢價均不是三箭資本崩潰的真正原因,彼時雖然收到以上兩個事件的影響,但三箭資本仍然保持運營,真正使其崩盤的原因是FTX與Alameda之間共享了三箭資本頭寸的清算水平,并刻意操縱價格使得其頭寸被清算,導致了最終的崩盤。(The Block)[2022/12/10 21:34:45]
若,即杠桿交易和永續合約標記價格的漲跌幅相等,那么

這里,我們用平均杠桿倍數乘以平均初始保證金替換倉位價值n,用用代表幣價的變化率替換S,那么

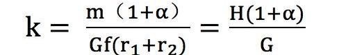
公式中H是一個固定值,我們可以將上式用三維曲面圖畫出,如下所示,該函數類似于一個卷折的紙箔。在統一賬戶單幣種保證金模式下,當k<=100%時賬戶會強制減倉,從上式可以看出,杠桿和價格漲跌幅是爆倉的決定因素。因此,用戶在使用該策略時,必須先利用插值法獲取相應的價格漲跌幅和杠桿設置范圍。例如在本節案例中,價格變動幅度在內,利用插值法我們可知杠桿設置需在20倍以下,而我們的平均杠桿倍數為15倍,處在安全區間。統一賬戶永續-杠桿套利策略的保證金率曲面圖:

回到本套利策略中,我們為了提高資金效率,使得占用保證金盡可能接近賬戶余額,即,此時

下面我們將G=15代入上式子,可得:

從上可以看出,只有當資產價格下跌約74.5%時,上述套利策略才會被強制平倉。需要強調的是,這里我們只選用了第一檔的倉位和維持保證金率;對于不同的資金規模,對應不同檔位的維持保證金率、借幣額度等是不同的。實際套利情況如下圖所示,從圖中可以看出,盡管我們分別以10X,75X的最高杠桿各開設了1.5ETH的多空頭寸,但在統一賬戶模式下,并未顯著提高我們的風險,其預估強平價在643.47USD,這意味著上述套利策略只有在ETH價格暴跌74%左右才會面臨爆倉。統一賬戶下幣本位永續-杠桿套利可顯著降低爆倉風險:

綜合來說,在永續-杠桿套利策略中,用統一賬戶模式套利較為劃算,資金利用率有明顯提升,收益較原來提高586%,當然,該優化效果僅僅是針對等級為LV1的普通用戶,對于等級更高的專業用戶,由于可獲得更低手續費和借幣利率,統一賬戶下的優化效果會更佳。
本文原載于《華爾街日報》刊登的《巴倫》雜志特別報道“財富指南:擁抱比特幣”,由幣世界研究院獨家編譯,分為四篇刊出,此為第二篇.
1900/1/1 0:00:00本文來自Decrypt,原文作者:TimCopelandOdaily星球日報譯者|余順遂 摘要: 花旗表示,比特幣的主導地位在未來十年可能會下降.
1900/1/1 0:00:00今天和大家分享這個系列的最后兩條建議。這兩條建議我曾經在文章中反復提及,但再次和大家分享也絕不為過,因為它永遠是我們每個投資者應該銘記于心的建議。“不要高杠桿操作.
1900/1/1 0:00:00就像被稱為“科技者盛宴”的蘋果發布會一樣,DeFi領域備受矚目的明星項目---Uniswap也在近日發布了新版本方案.
1900/1/1 0:00:00如果一次拉盤不夠,那就再來一次,“玩笑狗”秒變“嘯天犬”。一夜就能把人漲服的狗狗幣,能對它有信仰嗎?今天萌眼財經和大家分享這個一夜翻倍的老牌山寨幣——狗狗幣.
1900/1/1 0:00:00BTC行情分析 分析之前,先看兩則新聞的差距,直接上圖: 第一則來自太平洋西岸,意思是啥呢,就是你們隨便搞,只要3年內你們能把這事兒搞成,我們不給你設置任何條件,大家放心大膽地搞.
1900/1/1 0:00:00