BTC/HKD+1.24%
ETH/HKD+1.84%
LTC/HKD-0.51%
ADA/HKD-0.64%
SOL/HKD-0.09%
XRP/HKD-0.77%編者按:本文來自鏈聞ChainNews,撰文:LeoZhang與KarthikVenkatesh,分別為算力及衍生產品研究機構AniccaResearch創始人與數據分析師,星球日報經授權發布。科學方法試圖了解事物的本質,而煉金術則尋求讓事物變成人們想要的樣子。換句話說,科學的主要目標是真理,而煉金術的目標是獲取可操控的成功。**喬治·索羅斯《金融煉金術》**算力的經濟價值
比特幣是一種新的計算范式。它將存儲、通信和計算從特定的硬件中抽象了出來。所有節點對每一筆交易、新的區塊進行獨立的驗證,以最大計算能力對鏈作出選擇。比特幣無需中央協調即可實現狀態的復制。但是其設計上的取舍特點亦很鮮明:為了讓所有參與者獲得數據庫的完整副本,必須讓消息和數據存儲冗余。無論對鏈上性能做多少優化,這種冗余都是不可避免的。該系統的目的不是要實現比傳統的分布式計算更高的效率,而是要對計算流程完成的方式形式化和公開化。我們為什么需要一個高度冗余、效率低但完全透明的計算范式呢?在傳統的分布式系統中,所有節點及其協調規則是由基于分布式系統提供數據存儲和訪問其服務的通道。與之不同,比特幣網絡的共識和交易規則被一致遵守,但節點之間卻存在異質性。其交易是由全球范圍內具有不同網絡速度的匿名參與者零星發起的。在傳統異步分布式系統中不存在單一時間來源或權威的協調員,基本上不可能確定某一筆交易具體是在什么時間點發生的。比特幣通過工作量證明解決了時間協調這一棘手問題,工作證明這種機制可以證明一定量的計算資源被使用了一段時間。正如GregoryTrubeskoy解釋的那樣,「找到一個符合答案的哈希值,這一工作的難度扮演了鐘表的角色。」通過這個去中心化鐘表的滴答聲,交易區塊被打上了時間戳,這樣一來,一個P2P網絡就能有效地協同工作了。算力把多個交易的順序凝結在賬本上,使比特幣能夠將信任自動化,并在能達到結算能力得到強力的保證的前提下,獨立地促成了價值的轉移和存儲,且有強力的保證。結算保證是一個結算網絡能被采用并長久運作的關鍵基礎。當多個交易的順序難以被篡改時,這種結算保證,或者說經濟最終性,就被認為是足夠強的。當區塊鏈趨于普及,當網絡的算力不斷積累,工作證明「附帶的能量」就增加了區塊的經濟權重。獲取51%+的全球算力發起攻擊,其成本就會變得過于昂貴。一切經濟活動都會流入結算網絡。Saifedean在《作為一個結算網絡的比特幣經濟學》中認為,由于成本更低、更可驗證,且沒有交易對手風險,比特幣處理大型結算的能力優于中央銀行和金融機構之間的請結算系統。美國聯邦結算系統每天處理的金額超過2萬億美元。但只有少數幾家特許的銀行可以從這一頂層經濟活動中積累的價值中獲益。而在比特幣區塊鏈中,任何人都可以通過貢獻計算來維持比特幣的心跳,作為回報,人們將獲得一定份額的經濟價值。算力確保了比特幣網絡的安全,反過來,算力的經濟價值從根本上由網絡上的經濟行為所驅動。這就是比特幣范式將能源與數字化信息聯系起來的橋梁。這就是算力的陰陽兩儀。
慢霧:正協助Poly Network追查攻擊者,黑客已實現439萬美元主流資產變現:7月2日消息,慢霧首席信息安全官23pds在社交媒體發文表示,慢霧團隊正在與Poly Network官方一起努力追查攻擊者,并已找到一些線索。黑客目前已實現價值439萬美元的主流資產變現。[2023/7/2 22:13:24]

算力資產類別
我們將所有產生算力以換取加密貨幣的資產,以及通過模擬挖礦回報率的合成的合同/金融工具,定義為算力資產。盡管歷史很短,但是投資這一資產類別已越來越熱門。為了滿足這一需求,涌現出許多特殊目的實體、垂直化的挖礦機構挖礦基礎設施/服務提供商,還有與挖礦有關的金融合同。在本章中,我們將描述不同類型的算力資產的關鍵特征、它們作為金融工具的本質,以及每個市場載體目前所面臨的挑戰。礦機市場
與挖出的純數字商品不同,礦機的運營會受到品質和位置等物理屬性的極大影響。算力的生產涉及許多外在因素,比如芯片設計、流片、供應鏈、電力和礦機維護。

新產品通常安排在中國西南豐水季之前發布,以吸引礦工的興趣,新機器公開后一般會立即售罄。礦機制造商會收集大型礦場和分銷商的意愿以確定預購訂單,只有一小部分機器用于在線零售。最新一代的礦機通常在產品公布后約6個月才會發貨。從礦機制造商那里購買新礦機,類似于在1980年代之前購買石油定期供應合同。石油賣家同意在將來某個具體日期向某位買家提供特定數量的石油,而且價格由石油賣家單方面決定。2018年之后,礦機制造商在庫存管理方面越來越謹慎。礦機制造商僅在訂單確認并匯總后才開始組裝礦機,而買家通常需要等待2-3個月,這是物流時間。由于制造商只向公眾發售一小部分機器,零售購買者通常只能通過分銷商才能買到礦機,并需要支付一筆溢價。如果分銷商有庫存,好處是買家可以盡快獲得礦機。基于分銷商的地理位置和庫存狀況,同一款礦機的價格可能會有很大差異:

BTC突破25500美元:金色財經報道,行情顯示,BTC突破25500美元,現報25501.2美元,日內跌幅達到1.77%,行情波動較大,請做好風險控制。[2023/6/16 21:40:29]
來源:asicminervalue.com二手礦機也有相當大的二級市場。交易二手礦機需要豐富的經驗。市場的信息是高度不對稱的。交易通常是點對點的,賣家往往比買家更了解礦機的質量。二手礦機通常已過保修期,跑不出預期的哈希率的情況并不少見。更不用說有些賣家是徹頭徹尾的騙子。從分銷商或二級市場購買礦機產品時,重要的是選擇信譽良好的可靠分銷商和渠道,并在合同中明確承諾,礦機若延遲到貨或達不到預期性能時,應如何進行賠償。眾所周知,礦機市場缺乏流動性。部分型號的礦機更容易通過二級市場買到,因為它們的活躍時間已經比較久或產量更高。礦機是一種大宗商品。不同制造商生產的功率相似的礦機,可能在制造商網站上的單價大體差不多,但到了二級市場上,一切都由供求關系決定。所以盡管神馬和嘉楠耘智過去兩年迅速蠶食了比特大陸的市場份額,2020年迄今為止,礦機二級市場上的交易仍由比特大陸的礦機占據主導地位。

來源:LuxorMining算力的維度
有許多因素會影響礦機的價格。在本節中,我們將為算力的評估構建一個簡單的近似模型,并拆解其如何伴隨基礎變量的變化而作出響應。算力的價值隨比特幣價格、網絡算力和交易費的變化而波動。使用Hashrateindex上的礦機數據,我們可以比較一下,不同礦機的歷史價格的變動與這些變量之間的關系:

數據來源:Hashrateindex,Coinmetrics

比特大陸的S19和神馬M30礦機由于上市時間較短,未包括在內毫不奇怪,礦機價格與單位挖礦收入的軌跡最接近。但這并不能幫助我們了解與運行算力相關的開銷。在當今市場上,評估算力最流行的指標是靜態的盈虧打平天數,中國挖礦行業尤其看重這一指標。它易于計算,憑直覺就能理解。類似于「隱含波動率」是期權交易員做估值的近似方法,回本天數已成為礦機估值的流行近似方法:
特拉華州法官:參議員致信法庭不會影響FTX的司法裁決:金色財經報道,特拉華州法官約翰多爾西周三在法庭聽證會上表示,來自四名美國參議員的兩黨信件是對FTX破產程序的“不恰當”干預,但不會影響司法裁決。這封來自 John Hickenlooper (D-Colo.)、Thom Tillis (RN.C.)、Elizabeth Warren (D-Mass.) 和 Cynthia Lummis (R-Wyo.) 的信函對律師事務所 Sullivan & Cromwell 是否有能力公正地代表這家加密貨幣公司的新高管提出質疑并呼吁任命一名獨立審查員進行調查FTX破產案件。[2023/1/11 11:06:51]

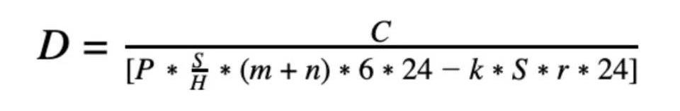
在上面的公式里:D是靜態回本天數d是提前支付的資本支出p是BTC當前價格S是已購買設備的哈希率H是全網哈希率m是coinbase獎勵,目前為6.25BTC.n是當前每區塊的平均交易費k是礦機的效率(J/T)r是全部的電力成本($/KwH)r在不同數值下,回測一臺S17礦機的靜態回本天數:

這是一種靜態計算,沒有捕獲礦機隨基礎變量變化而變化的期權價值。該指標有兩個組成:收入和成本。在投資挖礦之前,大多數礦工了解其成本結構。而在礦機的使用壽命內單位成本是固定的。而收入,則由三個隨機漫步的變量決定:

我們可以考察一下回本天數這一指標的敏感性,方法是看讓它對每個變量的偏導數。這類似于期權對沖值,該指標衡量的是,當標的資產的價格發生變化時,期權的價值會如何變化。所得結果的絕對值越高,回本天數對價格變化的響應速度就越快。對價格變化的敏感性的公式如下:

采用以上公式,我們可以估算出該指標對BTC價格的敏感性:
狗狗幣24小時漲幅超16%:金色財經報道,截止發稿,狗狗幣和Shiba均出現不同程度上漲。狗狗幣報價0.07453美元,24小時漲幅16.23%。Shiba Inu報價0.00001102美元,24小時漲幅6.51%。行情波動較大,請做好風險控制。[2022/10/27 11:47:20]

該圖顯示,隨著BTC價格的上漲,回本天數對價格的變化漸漸變得更敏感。S9礦機的敏感性的變化速度快于另兩款機器。需要注意的是,價格、網絡算力和費用是相互關聯的。但如果沒有dH/dp或df/dp的顯函數,我們假定各變量是相互獨立的。相同的分析可應用于全網算力的變化:

對全網算力變化的敏感度:

接下來,對于不同coinbase獎勵下的每區塊平均費用,敏感度情況怎樣。隨著比特幣挖礦的區塊獎勵按計劃減少,交易費在挖礦收入的來源中扮演著更為重要的角色。S19Pro礦機的敏感度如下:

盡管回本天數是一種簡單而直觀的衡量礦機性能的靜態指標,但它去除了礦機固有的期權價值,因此該指標本身具有很大的波動性。為了給算力創建一個更嚴格的估值模型,我們需要將其視為一個多變量的期權,以此捕獲未來的不確定性,另一種方式是用一籃子不同的工具對其進行合成。這些評估方法各有利弊。我們打算在未來的有關「算力市場的架構」的一篇文章中討論這些取舍,并解釋每種方法的數學原理。此外,我們還會介紹其他的「算力希臘字母值」,例如gamma和theta。合成的算力
除了財務評估的復雜性,購買和運行礦機還面臨許多運營方面的挑戰。對于零售買家而言,這一過程可能過于艱辛、難以掌控。一種參與挖礦的更簡單方法是購買云挖礦合同。云挖礦是算力衍生產品的一種原始形態,它將礦機的未來生產與其當前物理位置分離。在本節中,我們將介紹合成算力的幾種不同變體。過去幾年,無數的云挖礦項目如雨后春筍般出現,又悄然消失。云挖礦的困境在于,由于大礦工自行挖礦的利潤更高,該市場只能針對零售買家。但是,評估這些云挖礦合同卻需要大量挖礦產業的內行知識,以及對復雜期權定價的專業知識。盡管從理論上講,云挖礦概念代表了資本市場自然發展的下一步,但是因為上述原因,當前大多數云挖礦項目都被視為「騙局」。作為一個尚不成熟、規模仍較小的領域,云挖礦市場因完全缺乏市場標準而飽受困擾。HoneyLemonMarket是一個出色的云挖礦數據收集器。使用其儀表盤,我們可以看到不同云挖礦平臺在合同條款和價格方面有多大的差異:
法國經濟和財政部秘書長 Barbat-Layani 已被批準擔任法國金融市場管理局主席:10月19日消息,法國經濟和財政部秘書長Barbat-Layani已被批準接替RobertOphèle擔任法國金融市場管理局(AMF)的主席,負責注冊加密貨幣公司和傳統金融機構,立法者以55-28票贊成其任命。此外,Barbat-Layani在周二的聽證會上向獲得許可的加密貨幣公司發出警告,提醒立法者,許可證一旦被授予,也可以被收回。此前報道,法國財政部長BrunoLeMaire重申法國希望成為加密貨幣中心的愿望。[2022/10/19 17:32:45]

目前大多數云挖礦合同是不賺錢的。由于內置了基于生產成本的溢價,只有在非常特殊的市場里,云挖礦才會產生利潤。通常來說,當加密貨幣長時間的價格低迷后價格趨勢開始逆轉為一個自然牛市時,條件就合適了。對算力的需求會突然增加。由于購買和安裝礦機花費很長時間,所以購買云挖礦合同就成為快速建立頭寸的一種方法。通過云挖礦,投資者還可以接觸尚未在交易所上市的新啟動項目。另外,黑客可以租用哈希率對小型網絡進行51%攻擊。這被稱為算力達爾文主義,即淘汰掉設計欠佳的PoW項目。另一種合成算力資產是礦機代幣。它們是代表一臺礦機的一部分權益的流動性代幣。交易者押注的是礦機二級市場的波動性,而不是投資于礦機生產的幣。雖然這個概念已經出現一段時間了,但其交易量并沒有太大增長。這主要是因為,挖礦收入的多變量特質使得投機者很難就「流動的礦機」之定價達成共識。經驗豐富的交易者可以構建合成算力資產組合。例如,可以在做多一個云挖礦合同的時侯,同時做多加密衍生品交易所的一個隱含哈希率期貨,并在BTC現貨期貨中增加一個空頭頭寸。有多種創造性的方法可以利用金融工具來構造挖礦投資組合。對于不想擁有和運營硬件的基金和交易機構,這是獲取挖礦敞口的一種更輕松的方法。以下是資產組合的變化情況:

基于波動的幅度,當價格和難度呈反方向變化時,「做多云挖礦合同」最有可能產生盈虧在實踐中,構建這樣的投資組合是一項非常復雜的任務。正如回本天數的敏感度分析所顯示的那樣,隨著市場的變化,挖礦指標的敏感度會快速發生變化。每種工具的對沖比率都要不斷更新。管理還需要密切跟蹤并經常調整。況且現實中還存在許多限制,例如流動性差和定價模糊。在進行風險計算時,交易者需要準確了解他們在哪些方面會有摩擦并該做什么樣的折扣因素計算。通過構建一種虛擬化的算力投資組合而非真正的經營挖礦,投資者挖礦的經營風險轉換成了額外的財務風險。礦工對沖其敞口還有一種新方法,那就是算力遠期合同。類似于在云挖礦平臺上租用算力,遠期合同讓礦工可以在一定時間內以固定價格出售固定數量的算力。與云挖礦不同,它們通常是結構化的場外交易,并且具有較高的自定義靈活性。但是,由于沒有公開基準,遠期合同市場也沒有任何確定的定價框架。每筆交易都會變成一次談判,執行交易的部門不可避免地要承擔一些市場風險。最近有一個引人注目的成功范例,即數字資產金融服務公司BitOoda與紐約大型挖礦企業CoinMint之間的交易。隨著更多的交易所/金融服務機構與礦池進行垂直整合,這類交易將更頻繁地發生。礦池是出色的礦工流量的聚合器,但經過多年的發展,它們已轉變為商品化的軟件。所有人都希望捕獲礦工的交易量。交易所強大的流動性儲備使其能夠提供創造性和具有潛在風險的交易類型,以贏得礦工的交易流。礦工可以設置參數,比如始終出售一定百分比的算力,來鎖定運營費用方面的支出,而其交易對手則從礦池中拿走由該算力生產出來的幣流。例如,礦工可以在每月的月初預售30天100Th/s的算力。基于預估的難度增長和費用方面的假設,礦池提出支付0.02BTC的預付款。礦工將鎖定整個月100Th/s算力的生產,實際是上將生產風險轉移給了礦池。

數字僅用于演示目的幣安、OK和火幣正積極擴大其礦池業務,搶占市場份額。我們預期其它大型交易所也會跟進,或者很快會與現有礦池經營者結盟。除交易所外,部分貸款機構和交易機構也在這一方面進行探索:貝寶金融發布了其以太坊礦池,ThreeArrowsCapital將通過幣印礦池推出結構化金融產品。在過去,加密貨幣行業的不同層級呈現高度孤立碎片化的狀態。經過多年的試錯,關鍵基礎設施層變得越來越標準化和商品化。其中某些獨立的基礎設施的商業模式并沒有競爭力。那么,整合或垂直化就不可避免了。算力投資工具
投資挖礦是一項全職工作。多數傳統投資者和風險投資機構沒有足夠的時間,資源或專業知識來運行礦機或構建復雜的虛擬化算力組合。他們一般都通過挖礦SPV或挖礦企業來獲得挖礦的敞口。2019年初,我們看到一大波炒作過度的GPU啟動的項目。有一個謠言如野火般傳播,即財大氣粗的風險投資公司在Grin上投資了數億美元。使得2018年第四季度慘淡收場的GPU礦場又重新復活、駕馭潮頭。投資者想建立大的頭寸,但又沒有人力或技術專家來運行礦機,他們最終選擇將資金聚在一起以投資挖礦業務。SPV的管理者們利用投資者的初始投資來采購和運行礦機,他們也拿走了挖礦收入的一部分。在大型BTC運營中,投資于挖礦企業也很常見。其中一些已經成為上市公司。挖礦企業每天會生產大量的幣。所以一家挖礦企業既是一家硬件運營者,也是一家流動基金的管理者。許多資本雄厚的挖礦項目,卻由于交易頭寸管理不善而失敗。一個臭名昭著的例子是2018年美國比特幣礦業先驅GigaWatt在華盛頓申請破產。根據法院文件,該公司在宣布破產時,「估計其資產價值不足五萬美元,而估算的負債在一千到五千萬美元之間」。運營者如何管理現金流,是一個至關重要的問題。制定一個合理的賣出策略以應對市場狀況的變化,這對于基金/公司的財務成功是至關重要的。下面我們列舉了四種典型策略的回測結果:假設:起始日期:1/1/2019估值日期:7/1/2020初始投資:$1,000,000礦機數量:4840臺S9,購買時每臺單價$206.6。線性折舊算18個月以上。總算力:67,761Th/s總耗電:6,389KW電費均價:$0.04/KwH

以上演示的四種策略代表了BTC與USD頭寸的不同風險偏好。請注意,如果換另一個市場環境,產生最高回報的那個策略可能變成獲利最少的。有部分礦工更偏向于,不論市場如何都堅持持幣,直到他們被迫售出為止。基于管理者的目標,策略應作出相應調整。配備優秀交易員的挖礦企業還可以在高價時賣出獲利,并在價格跌至低于生產成本時將其回購,或采用抵押貸款、比特幣期貨等金融工具的組合,以防止負面風險。我們將在以后一篇名為hashpowerfinancializationandriskmanagement的文章中更深入地討論該主題。算力資產簡單小結

在第二部分中,我們將探討推動挖礦趨勢的各個變量的內部邏輯,并介紹反身性在算力市場中如何發揮作用。我們將拆解在這些復雜的相互作用中浮現的宏觀周期模式,并使用真實的市場范例來演示其潮起潮落。
近日隨著加密貨幣市場BTC和主流貨幣的上漲,許多場內外因素的利好都浮現了出來,就像我們昨日文章中說的黃金上漲是由于避險和美元指數下跌因素,而比特幣也存在和黃金類似的特質搭上了便車.
1900/1/1 0:00:00本周大事記 伴隨著持續一周主流幣普漲行情,低迷已久的EOS幣價也小幅回溫。對比上周突破300美元達到近一年高點的以太坊和再度破萬美元的比特幣,周內7個點漲幅的EOS的確略顯遜色.
1900/1/1 0:00:002020年第31周區塊鏈二級市場報告2020年7月26日-2020年8月3日本期報告重點內容:本周大盤走勢:沖高回調高位企穩.
1900/1/1 0:00:00北京鏈安,聚焦區塊鏈安全與數據服務,以下是基于北京鏈安ChainsMap鏈上數據監測系統,就上周數據發布的比特幣鏈上數據周報.
1900/1/1 0:00:00編者按:本文來自閃電HSL,作者:黃世亮,Odaily星球日報經授權轉載。比特幣是不是財富,其實這個是有爭議的。首先它能換錢,當然是財富.
1900/1/1 0:00:00“數字經濟時代經濟意義上的貨幣具有更重要的意義,美國聯邦法院界定比特幣為‘money’并非法定貨幣.
1900/1/1 0:00:00