BTC/HKD-0.84%
ETH/HKD+0.77%
LTC/HKD+1.32%
ADA/HKD+0.84%
SOL/HKD+0.34%
XRP/HKD-0.35%北京時間9月15日14時42分左右,以太坊正式完成合并。以太坊在區塊高度15537393觸發合并機制,并產出首個PoS區塊,高度為15537394,以太坊共識正式從PoW轉為PoS機制。
以太坊進入后合并時代,你對以太坊2.0了解多少?本文用15個概念帶你深入了解它。
信標鏈向以太坊1.0引入了權益證明,與以太坊1.0并行運行。信標鏈也被稱為協調層。
信標鏈具有一下作用:
分配驗證者的職責
確認檢查點
執行協議級隨機數字生成器(RNG)
促進信標鏈運行
投票決定分叉鏈頭
32 Slot = 1 Epoch
1 slot的時間是12秒,隨機選擇的驗證者在此時間內提議一個區塊。每個slot中可能有也可能沒有區區塊。全部驗證者被分成多個委員會,由一個或多個單獨的委員會負責驗證每個slot。委員會中有一個驗證者將被選為聚合者(aggregator,),而其他127個驗證者將進行驗證。在每個Epoch之后,各委員會的驗證者被混合并合并到新的委員會。每個委員會至少有128名驗證者。

金色財經挖礦數據播報:BTC今日全網算力上漲0.6%:金色財經報道,據蜘蛛礦池數據顯示:
BTC全網算力178.429 EH/s,挖礦難度20.61T,目前區塊高度682856,理論收益0.00000645/T/天。
ETH全網算力598.592TH/s,挖礦難度7472.91T,目前區塊高度12403883,理論收益0.00422941/100MH/天。
BSV全網算力0.88EH/s,挖礦難度0.12T,目前區塊高度686543,理論收益0.00102492/T/天。
BCH全網算力4.163 EH/s,挖礦難度0.48T,目前區塊高度687233,理論收益0.00021617 /T/天。[2021/5/10 21:42:48]
1 Epoch = 32 Slot
1個Epoch表示32個slot的數量,大約耗時6.4分鐘。
當涉及到驗證者隊列和最終確定性時,Epoch扮演著重要的角色。
存款合約是通過以太坊1.0上的智能合約到達以太坊2.0的網關。
智能合約接受任何最少1個ETH和有效輸入數據的交易。
以太坊2.0信標節點監聽存款合約,并運用輸入數據來信任各驗證者節點。
金色財經挖礦數據播報 | ETH今日全網算力上漲2.67%:金色財經報道,據蜘蛛礦池數據顯示:
BTC全網算力160.156EH/s,挖礦難度21.87T,目前區塊高度675713,理論收益0.00000609/T/天。
ETH全網算力454.327TH/s,挖礦難度5779.61T,目前區塊高度12086054,理論收益0.00529043/100MH/天。
BSV全網算力0.551EH/s,挖礦難度0.08T,目前區塊高度679494,理論收益0.00163298/T/天。
BCH全網算力1.346EH/s,挖礦難度0.19,目前區塊高度679794,理論收益0.00066856/T/天。[2021/3/22 19:06:21]
輸入數據,也稱為存款數據,是用戶生成的,長度為842個字符的序列。
它表示驗證者公鑰和取款公鑰,由驗證者私鑰簽名。輸入數據需要添加到交易和存款合約中,以便由信標鏈識別。
驗證者需要在以太坊1.0鏈上的驗證者存款合約中存入32個ETH。驗證者運營商必須運行一個驗證者節點。驗證者的職責是提議區塊和簽署證明。驗證者必須至少保證一半的在線時長,才能獲得正向回報。
符合激活資格&預估激活
金色午報 | 12月17日午間重要動態一覽:7:00-12:00關鍵詞:BTC市值、萬通人壽、波卡、北方信托
1.比特幣排名全球市值資產第13位超越美國強生;
2.Bitwise加密指數基金股價飆升369%創歷史新高;
3.波場要求紐約法官撤訴對其的ICO訴訟;
4.波卡RococoV1平行鏈測試網預計將于圣誕節前夕上線;
5.JosephYoung:以太坊在2021年非常樂觀;
6.馬云與萬通人壽保險公司具有股權合作關系,后者近期購買價值1億美元的比特幣;
7.北方信托推出加密貨幣托管平臺Zodia 資產管理約為1.2萬億美元;
8.比特幣日內最高報22175美元,以太坊最高報651美元,主流幣普遍上漲。[2020/12/17 15:31:08]
具體參考下文關于等待激活驗證者的相關術語解釋。保證金存款已經過ETH2鏈“符合激活條件”時間戳識別。如果存在等待激活驗證者隊列,則需計算預估激活時間戳。
每個驗證者都會接收屬于自己的唯一索引。

當前余額表示驗證者目前持有的ETH數量。有效余額表示由當前余額計算的值,用于確定驗證者獲得的獎勵或懲罰的大小。有效余額永遠不得超過32 ETH。
金色午報 | 12月11日午間重要動態一覽:7:00-12:00關鍵詞:蘇州、總檢察長、LINK、SEC
1.蘇州10萬個數字人民幣紅包到賬,將于今晚20時生效;
2.美國紐約總檢察長辦公室預計Bitfinex/Tether案文件將在數周內提交;
3.俄總檢察長辦公室主任:明年初將頒布新的數字和加密資產法律;
4.蘇州數字人民幣測試合作方曝光 滴滴、美團、bilibili、善融商務首次上線測試;
5.Balancer社區提議將AMPL流動性挖礦上限提升至1000萬美元;
6.LINK鏈上交易量今年增長8倍;
7.李鳴:數字經濟的核心是數據,區塊鏈可最大化數據價值;
8.美國SEC委員Peirce:監管機構須解決加密領域諸多問題而不是抑制其潛力。[2020/12/11 14:53:58]
為了增加有效余額,驗證者要求“有效余額 + 1.25 ETH”。換換句話說,如果有效余額為20 ETH,則需要當前余額為21.25 ETH,才能獲得21的有效余額以太坊。如上例所示,有效余額將在低于閾值0.25時進行調整。
以下是說明有效余額如何變化的例子:
如果當前余額為32.00 ETH ——有效余額為32.00 ETH。
金色財經獨家分析 雄安新區持續在區塊鏈領域發力 建設全球領先的數字城市:近日,雄安新區推出基于區塊鏈技術的智慧垃圾收集樣機器,市民可通過下載APP,在通過掃碼后進行垃圾分類傾倒,該垃圾箱內置系統可以根據垃圾種類和重量,給予垃圾投遞者積分獎勵,所有積分則可以通過未來遍布新區的服務體系用來兌換生活用品等。此前,雄安在發布《河北雄安新區規劃綱要》時就曾表示,新區率先大規模商用5G、率先布局IPv6;超前布局區塊鏈、太赫茲、認知計算等技術研發及試驗。雄安在在房屋租賃領域率先布局使用了區塊鏈技術。金色財經分析,雄安新區正在大力建設數字城市,不僅在居民的日常生活領域,在其他城市的建設方便,區塊鏈也必將成為推動雄安數字化建設的重要技術支撐。[2018/5/21]
如果當前余額從22.00 ETH下降到21.76 ETH——有效余額將為22.00 ETH。
如果當前余額增加到22.25 ETH、且有效余額為21 ETH,則有效余額增加到22 ETH。
Slasher自成實體,但需要一個信標節點來接收證明。
為了通過驗證者發現惡意行為,slasher遍歷所有接收到的證明,直到發現罰沒攻擊。
被發現的罰沒被廣播到網絡中,下一個區塊提議者將證明添加到區塊中。區塊提議者會因為罰沒惡意驗證者而獲得獎勵。
然而,舉報人(Slasher)不會得到獎勵。
可罰沒的罪行
證明者違規(Attestation Violation)
雙重投票:驗證者在同一個epoch簽署兩個沖突的證明。
環繞投票:驗證者環繞另一個證明簽署證明。
提議者違規(Proposer Violation)
雙重區塊提議:一個區塊提議者為同一個slot簽署兩個沖突區塊。
驗證區塊有效性的證明者(Attester)進行的投票。
信標鏈所選擇的驗證者,提議出下一個區塊。每個slot只能有一個有效區塊。
已提議區塊(Proposed):區塊通過驗證被驗證者提議。
提議中區塊(Scheduled):驗證者正在提交數據。
漏塊(Missed/Skipped):提議者沒有在既定時間內成功提議區塊,所以該區塊被漏掉了。
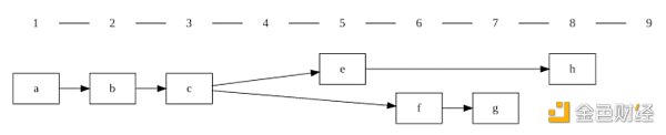
孤塊(Orphaned):為了理解該術語,我們來看下圖,其中數字1-9代表slot。
1、slot1的驗證者提議區塊“a”。
2、slot2的驗證者提議區塊“b”。
3、slot4被漏掉了,因為驗證者沒有提議任何區塊(如離線)。
4、在slot5/6出現了分叉:驗證者(5)提議了一個區塊,但是驗證者(6)沒有收到相關信息(例如,該區塊到達該驗證者的速度不夠快)。所以驗證者(6)根據從驗證者(3)那里看到的最新信息提議了一個區塊。
5、分叉選擇規則在這里起關鍵作用——決定了可用鏈中那條鏈是規范鏈。

32 ETH已存入ETH1存款合約,該狀態將維持7小時左右。這為在ETH1鏈受到攻擊時提供了安全性。
(2)等待激活
等待在ETH2上激活。
在驗證者進入驗證者隊列之前,它們需要經其他活躍的驗證者投票加入。每4小時進行一次投票。
直到網絡中有327680個活躍驗證者之前,每個epoch可以激活4個驗證者。每增加65536(=4 * 16384)個活躍驗證者,驗證者激活率就相應增加1個點。
此后每個epoch可激活5個驗證者,則需要327680個活躍驗證者,也就是每天1125個驗證者。
每個epoch激活6個驗證者,則需要393216個活躍驗證者,也就是每天1350個驗證者。
每個epoch激活7個驗證者,則需要458752個活躍驗證者,也就是每天1575個驗證者。
每個epoch激活8個驗證者,則需要524288個活躍驗證者,也就是每天1800個驗證者。
每個epoch激活9個驗證者,則需要589824個活躍驗證者,也就是每天2025個驗證者。
每個epoch激活10個驗證者,則需要655360個活躍驗證者,也就是每天2200個驗證者。
激活數量隨激活驗證者數量的增加而增加,其限制為激活驗證者集除以64.000。
(3)活躍驗證者(Active Validator)
當前正在確認和提議的塊(=區塊提議者)
驗證者將保持活動狀態,直到:
其余額低于16 ETH(被踢出網絡)
自愿退出
被罰沒
(4)被罰沒驗證者(Slashing Validator)
驗證者是惡意驗證者,將被罰沒并踢出系統。
懲罰(Penalty)是一S種消極的獎勵(如離線)。
罰沒(Slashing)是重大的懲罰(≥1/32的質押余額)和強制退出... .—— Justin Drake
(5)正退出的驗證者(Exiting Validator)
踢出網絡:驗證者余額低于閾值,被踢出網絡。
退出網絡:自愿退出,取款密鑰持有人可提取相應驗證者余額的當前余額。
在以太坊2.0中,至少有三分之二的驗證者必須誠實,因此,如果存在兩個相互競爭的epoch,并且三分之一的驗證者決定實施惡意行為,他們將受到懲罰。誠實的人會得到獎賞。
為了確定一個Epoch是否已經最終確定,驗證者必須同意連續的最新兩個Epoch(= “被證明的”),然后所有之前的Epoch都可以被認為已經最終確定。

北京時間9月15日19:26最終確認的Epoch和正在處理區塊的Epoch
如果某個epoch的投票率低于66.6%(=參與率),則該epoch不能成立。正如在“最終確定”概念提到的,需要連續三個被證明的epoch才能達成最終確定性。只要鏈不能達到這個狀態,就存在最終確定性問題。
在存在最終確定性問題期間,驗證者隊列將被暫停,新的驗證者不能加入網絡,但是,余額小于16 ETH的非活躍驗證者將被踢出網絡。這使得網絡更加穩定,參與率也更高。
DeFi之道
財經法學
成都鏈安
金色早8點
Bress
鏈捕手
PANews
Odaily星球日報
互聯互通是一直沒被解決好的剛需在區塊鏈中,如果把每一條區塊鏈比喻成一個獨立的賬本,不同賬本之間沒有建立起互聯互通,各個鏈上的數據和用戶資產是處于相對獨立的狀態,單個的區塊鏈就像一座座孤島.
1900/1/1 0:00:00文:Ben Giove 來源:Bankless 投資既是金融學的練習,也是心理學的練習。做好基本面研究是必須的,但投資者控制情緒行為和心態的能力對獲得成功也至關重要.
1900/1/1 0:00:00區塊鏈默認是透明的,因此,它缺乏隱私屬性。當區塊鏈上發生交易時,它所涉及的地址的錢包余額、代幣、NFT 和與其他地址的交互、合約以及它們曾經交易的具體金額都是公開的,任何人都可以看到,盡管公共地.
1900/1/1 0:00:00撰文:凱爾 距離以太坊分叉網絡 ETHW(EthereumPow)誕生已經過去了超過 72 小時.
1900/1/1 0:00:00大家好,我是 ever 創始人熊煒,感謝大家今天來參加 Arweave 亞洲生態大會。此次會議我們選擇了具有 200 年歷史的國會舊址,在國會討論面向未來 200 的永久存儲基礎設施 Arwea.
1900/1/1 0:00:00文/Kaili Wang,斯坦福大學區塊鏈交易的不可篡改性是把雙刃劍。BAYC網絡釣魚、PolyNetwork攻擊、Harmony橋、Ronin被盜,僅在2021年,就有140億美元的加密貨幣被.
1900/1/1 0:00:00