BTC/HKD-0.62%
ETH/HKD-0.38%
LTC/HKD-0.11%
ADA/HKD-0.22%
SOL/HKD+0.01%
XRP/HKD-0.73%如今,幾乎每個權益證明網絡都通過協議質押和通貨膨脹提供獎勵;然而,尚未有一個網絡能夠提供一個殺手級功能:長期質押。
期限結構允許投資者在特定時間段內戰略性地鎖定資本,以換取通常更大的投資回報。在金融領域,期限利率構成了收益曲線,這是良好運行的金融市場的重要組成部分。然而在加密領域,這些基本要素在協議級別根本不存在。
在這篇博文中,我們將探討PoS網絡如何更好地將質押者與其網絡的長期成功聯系起來,并提出一個特定的金融構造來優雅地實現這一目標。
質押已經有效了嗎?
質押不僅僅是賺取獎勵的一種方式。它在PoS網絡的安全性中發揮著至關重要的作用,這就是為什么質押者首先會因參與發行貨幣而獲得補償。
然而,在當前的質押模型中,獎勵平均分配給所有生態系統參與者,而不考慮他們對網絡的特定定位,無論是短期、長期還是像“鉆石手”一樣。他們沒有充分償那些在風險和波動性中持有的質押者,以期改善網絡。
此外,可以相對短時間內解鎖的選項可能對網絡的穩定性構成潛在風險,特別是在大量質押在短時間內被解鎖的極端情況下。這種情況可能導致網絡不穩定,破壞整個系統,甚至更糟,導致全面的經濟攻擊。
Circle凍結從Multichain轉出的6300萬美元USDC:金色財經報道,USDC發行商Circle針對最近的Multichain協議安全漏洞做出了回應,目前已將三個從跨鏈橋接平臺接收大量資金外流的錢包地址列入黑名單。安全公司PeckShield指出,約6300萬美元的USDC因此被凍結。
金色財經此前報道,Multichain多個橋合約出現代幣異常流出情況,其中Fantom橋有1.3億美元資產流出。[2023/7/8 22:25:13]
以太坊使用排隊系統來減輕這種風險,但本文探討了更為穩健的替代方案。
質押有效,但還有改進的空間。
長期質押
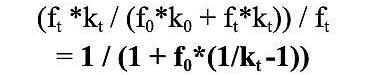
長期質押通過獎勵長期鎖倉的質押者以更高的質押獎勵百分比,以激勵網絡的穩定性和持久力。
長期質押在質押過程中引入了一個時間鎖變量。協議可以將其視為時間加權的質押,在其中,質押獎勵更有利于承擔更多時間風險的質押者。
讓我們定義一些變量:
Alchemix:因Multichain暫停橋接,L2退出方案失效:7月7日消息,DeFi借貸協議Alchemix發推稱,因Multichain暫停橋接,之前發布的L2退出方案失效,此外Alchemix提示,在問題解決之前請用戶不要進行代幣跨鏈。[2023/7/7 22:24:20]

我們有意地將k定義為一個單獨的乘數,而不是純粹按時間加權的質押,以保留靈活性。通過避免嚴格按時間乘法,特別是在長時間鎖定的情況下,該設計防止對短期質押率產生過度有害影響。從而在根本上保護不具備長期風險偏好的質押者,最終保護免受質押參與率下降的影響。此外,它還保留了網絡通過增加k來積極進取的選擇性,如果需要,以提高長期質押率。
假設驗證者的表現均勻,長期質押者可以通過以下方式增強他們的獎勵:

NFT鑄造平臺Manifold推出多NFT銷毀機制“Multiburn”:金色財經報道,NFT鑄造平臺Manifold宣布推出全新NFT銷毀機制“Multiburn”,可以銷毀多個NFT以創建全新獨特的代幣,用戶可以使用任何來自ERC-721和ERC-1155合約的多個NFT,多代幣銷毀還將提供全新的調整后鑄造費用,目前每鑄造一次的費用為0.00069 ETH,而單代幣銷毀的費用同樣的是0.00069 ETH。對于創作者來說,在配置過程中可以選擇在之前選擇的代幣之上添加額外的可銷毀代幣。 銷毀將需要宣布銷毀“所有”代幣才能贖回新的 NFT。對于需要銷毀多個代幣的買家用戶,將通過每個步驟來選擇要銷毀代幣,然后到達最終模式后會顯示正在銷毀的所有內容以及需要支付的費用。[2023/4/13 14:00:41]
短期質押者會減少他們的獎勵:

Multichain推出Co-Mint,允許多個橋共同鑄造相同的資產和解決流動性碎片化問題:3月22日消息,多鏈協議 Multichain(原Anyswap)宣布與 Conflux 推出 Co-Mint,允許多個橋共同鑄造相同的資產和解決流動性碎片化問題。除了Conflux,其稱還與 Paraswap 在 Co-mint 上進行了合作,并且更多的Dapp正在加入該計劃。
Multichain表示,這意味著一個橋將與其他橋真正兼容,所有者可以設置一個橋可以鑄造的資產上限,另外,Co-Mint可以在不改變總供應量的情況下幫助固定供應資產跨鏈。(Medium)[2022/3/22 14:11:54]
探索金融構造和促進風險轉移
可以以兩種方式實施長期質押:永久性時間鎖合約和固定到期日合約。
永久性時間鎖合約
首先,網絡可以為對長期質押感興趣的質押者提供永久性的1年質押合約。從本質上講,這可以被視為可贖回的債券。
Gate.io 已根據官方安全要求更換MultiVAC(MTV)合約地址:據官方公告,Gate.io已根據MultiVAC(MTV)官方安全要求更換合約地址,平臺內用戶無需任何操作即可完成充值,平臺外去中心化錢包中合約切換后可以添加新合約地址獲得代幣,并可將新合約代幣充值到Gate.io平臺交易和存儲。Gate.io提示:請務必留意市場變化,及時調整掛單。詳情點擊原文鏈接。[2020/10/19]
在每個epoch/區塊,質押者可以提交贖回通知。在提交贖回通知后,他們可以在1年時間鎖定到期后要求獲取基礎資產。
如果質押者想要繼續質押,時間鎖定將在每個epoch/區塊自動重置為1年。從質押者的角度來看,他們永遠不必在1年時間鎖定之外承擔任何本金還款的不確定性。
其他條款可以逐步推出:3個月、6個月、2年、3年、5年、10年等。
固定到期日合約
固定到期日合約將是實施期限質押的另一種方式。這看起來更類似于傳統債券,其中本金將在將來的固定日期歸還,隨著時間的推移,到期日時間會減少。
總體而言,我們認為永久合約比固定到期日的選擇更好,因為:
1、永久性的1年時間鎖定構造允許網絡在每個epoch/區塊處于最大可能的時間鎖定狀態,從而最能激勵長期質押;以及,
2、通過每個epoch/區塊自動重置為1年的時間鎖定,多個k可以在質押的整個生命周期內保持恒定=K。這一點尤其重要,因為隨著到期日剩余時間的減少,對長期質押感興趣的各方的質押率乘數將減少,從而縮小了長期和短期質押者之間的利率差距,因此對長期質押者的吸引力降低。
DeFi:促進風險轉移
即使最基本的實施方式也應該能夠滿足需要在解鎖期結束之前將資產轉化為原生資產的長期質押者的喜好,這可以通過流動質押來實現。我們預計將會看到基于期限的、流動質押的代幣池有機地出現,以促進這種風險轉移。
此外,由于收益的均值回歸性質以及利用可組合性的能力,自動做市商可以構造通過流動質押池在各方之間實現無縫的風險轉移。事實上,在傳統金融領域,收益曲線交易已經是一個重要的事情。例如,我們預計會看到stToken-12month獨立于stToken-6month的交易,這些代幣將帶來更多的鏈上交易和流動性。
想象一個假設的PoS網絡中的長期質押
讓我們考慮一個假設的PoS網絡,質押收益為y=6%。讓我們使用K=2來平衡短期和提高長期質押率。我們將假設T=1年用于此計算。
我們發現,在一個極端情況下,當所有人都進行短期質押時,每個人都會獲得相同的質押收益y=6%。然而,第一個進行長期質押的人可以獲得兩倍的收率,即K*y=12%。在另一個極端情況下,當所有人都進行長期質押時,質押率仍然保持在y=6%,但選擇進行短期質押的人只會獲得y/K=3%收益。實際上,平衡點可能會在這些極端情況之間的某個地方。因此,通過同樣的通貨膨脹率,網絡可能在較長的時間內實現更高的安全性。

注意:上圖展示了隨著越來越多的人進行短期質押,質押率曲線變得更陡,激勵更多的人進行長期質押
必須承認,這里的思想實驗專注于單一期限:1年。這個限制可以實現簡化的實施,同時保持易于將來輕松地加入其他時間鎖的靈活性。擴展到多個時間鎖的過程應該是一項協作工作,社區可以深入研究每個后續時間鎖的特定特性以及相應的PoS網絡。
這個設計是1)簡單直觀的,2)易于根據市場反饋進行重新配置的,3)包含了自由市場的需求,以及4)確保長期質押率大于短期質押率。
管理設計風險
長期質押并不能解決所有問題。它帶來了一些邊際情況和其他需要考慮的限制。
這個設計中最重要的風險之一是,大戶可以選擇最長期地鎖定,并且
1、可以決定K,乘以長期質押收益,可能對短期質押者具有懲罰性,從而增加短期質押者離開網絡的風險,可能導致網絡的中心化。
2、這可能對短期質押者的驗證者產生不利影響。這可能會使這些驗證者不那么具有競爭力,從而增加這些驗證者離開網絡的可能性。
解決方案是設計一種由社區驅動的方法來決定K的值。這個倍數應該足夠大以有所作為,但又足夠小以不阻礙短期質押者。需要征求多方的意見——短期質押者、長期質押者、不同比例質押者的驗證者,以及可能還有其他人。
更強大的區塊鏈
在我們看來,為了確保網絡的彈性,并發展成支持數十億用戶和數萬億美元的金融基礎設施,PoS網絡需要認真考慮如何激勵長期、價值一致的質押者。收益曲線是良好運作的金融市場的支柱。長期質押是一種加密原生方式,可以將這一愿景變為現實,并且我們可以利用組合性的力量,在各種市場參與者之間創建無縫的風險轉移機制。
通過實施長期質押,PoS網絡可以創建一個強大的生態系統,獎勵那些優先考慮長期參與并與網絡價值一致的人。此外,通過自愿地將他們的質押資金鎖定較長時間,長期質押者顯著提高了隱含的網絡安全性。他們的長期“質押投入”為區塊鏈的安全性增添了信心,吸引了更多的質押者,并培養了一個增長的良性循環。通過實施這些措施,我們可以顯著改善PoS區塊鏈,加強其穩定性、安全性和長期的可行性。
Tags:區塊鏈以太坊鉆石手區塊鏈工程專業學什么區塊鏈存證怎么弄區塊鏈技術發展現狀和趨勢以太坊幣是什么幣鉆石手幣是什么幣
本文以DeFi生態系統:原語和技術堆棧中介紹的技術概念為基礎,概述了由該技術創建的新價值渠道。通過聚焦于單個EVM鏈中的價值流,來提供一個框架來識別下面三者之間的價值流: 傳統金融和去中心化金融.
1900/1/1 0:00:00最近,「室溫超導體」這個詞正在全球范圍內迅速傳播并引起廣泛關注,相關概念的投資標的也在資本市場持續火熱交易.
1900/1/1 0:00:00我們從不同的x模式下,挑選了較具代表性的10個項目從項目背景、進度、機制及賽道定位四個維度進行了對比.
1900/1/1 0:00:00一、VentureDAO宏觀分析 DAO可以理解為基于區塊鏈的,以智能合約為運行原則的去中心化組織.
1900/1/1 0:00:00關于加密貨幣的故事中存在一些重要的經濟錯誤——這些錯誤對我們應該如何看待比特幣和其他區塊鏈資產的價值有著重要的影響。現金不是儲蓄,稀缺性本身不會創造價值.
1900/1/1 0:00:00Layer2依然是今年加密市場的主流敘事,尤其自去年五月份以來,在OP、Arbitrum等Token激勵的刺激下,ZkSync、StarkNet以及剛面世不久的Linea都獲得了極大關注.
1900/1/1 0:00:00