BTC/HKD-1.65%
ETH/HKD-2.84%
LTC/HKD-2.15%
ADA/HKD-2.99%
SOL/HKD-3.07%
XRP/HKD-1.36%作者:DeFi研究員VincentLu
Pechtl的模型
1995年,Pechtl提出離散時間轉換認購期權,如果在Δt內,資產價格超過了行權價X,則投資者可以在期權到期的時候獲得這段時間的收益為AΔt,同理,在離散時間認沽期權中,在某個Δt內,資產價格低于了行權價X,則投資者可以在期權到期的時候獲得這段時間的收益為也為AΔt。
Pechtl根據理論和BS模型,他計算出這種認購期權的定價可以用如下算式來表達:

中幣(ZB)市場研究報告:比特幣價格或將迎來重大修正:據中幣(ZB)市場研究報告顯示,比特幣價格在上周周日的小幅下跌后,昨日重新測試了24149美元的歷史新高。從技術成交量指標看,比特幣價格成交量下跌,是一個看跌信號。技術上看,BTC價格是在試圖創造一個頭肩格局的市場結構;基于價格走勢,空軍正在阻止比特幣價格突破23342.44美元支撐位。未來一天,比特幣價格將面臨23342.44美元的支撐位,如果跌破這一水平,比特幣將面臨下行的重大修正。此外,多頭還將面臨23342.44美元的阻力位。此外,該報告還對XRP做出了一周技術分析。更多詳情請查閱中幣(ZB)官方發布的研究報告。[2020/12/22 16:07:55]
認沽期權的定價可以用如下算式來表達:
研究報告:區塊鏈行業仍面臨行業標準制定仍存差異的挑戰:10月14日消息,世界經濟論壇和全球區塊鏈商業理事會發布的最新研究指出,區塊鏈行業在制定標準方面存在的差距、分歧和重疊,是該行業需要克服的最大挑戰。報告稱,大多數參與制定行業標準的組織都對某些特定領域表現出極大興趣,但完全忽略了其他領域。這對區塊鏈行業標準制定造成了重疊,而在其他部分標準化方面產生了差距。而圍繞標準的制定興趣和活動規模也隨著圍繞該技術的炒作而變化。全球范圍內的區塊鏈術語仍然不確定。報告強調,區塊鏈行業的一致定義和術語確定是該行業發展的關鍵。標準的有效性最終將取決于對這項技術的理解程度。(Cointelegraph)[2020/10/14]

火幣研究院發布區塊鏈+供應鏈金融研究報告:2020年4月3日,火幣區塊鏈研究院(下稱“火幣研究院”)攜手聯動優勢,聯合發布主題為《區塊鏈下的“普惠”供應鏈金融》的研究報告(下稱“報告“)。
報告闡述了中國供應鏈金融的現狀,探究當前供應鏈金融行業面臨的主要問題,并從區塊鏈結合供應鏈金融行業的優勢、模式探討、落地難點等方面進行了具體分析,對現有區塊鏈技術在供應鏈金融行業的應用案例進行梳理,最后,報告對未來區塊鏈供應鏈金融的發展方向提出思考。
火幣研究院院長袁煜明表示,中小企業對中國經濟發展有著極大的貢獻,但由于缺乏足夠的抵押物等問題,長期面臨著融資難、融資貴的窘境。尤其當前疫情席卷全球、經濟形勢不容樂觀,中小企業面臨很大考驗,國家也在資金層面上出臺相關政策,扶持中小企業,然而因為種種原因,資金支持難以觸達實體經濟中的中小企業。
供應鏈金融正是依托供應鏈核心企業信用為中小企業解決融資問題。根據中商產業研究院的預測,受益于應收賬款數額、存貨量及融資租賃市場的不斷發展,中國供應鏈金融市場規模將呈穩健發展態勢,從2017年的13萬億增長至2020年的15萬億。
“供應鏈金融涉及的環節比較多,有可能存在各種各樣的問題,通過區塊鏈來保障整個信息流通是可信的、不被篡改的。“袁煜明說道。[2020/4/3]
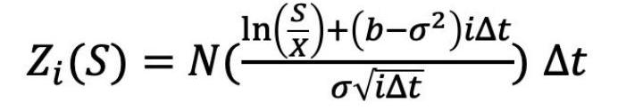
其中S為現價,X為行權價,波動率為σ
動態 | 研究報告:加密貨幣在全球匯款中的使用率顯著上升:據CCN報道,加密貨幣公司Clovr的一份新報告顯示,加密貨幣在全球匯款中的使用率顯著上升。人們認為加密匯款相對于傳統銀行匯款來說更便宜、更快捷。且在使用加密付款的用戶中,男性占主導地位。[2018/12/25]
在這兩個算式中,n=T/Δt,如果期權合約已經生效了一段時間,則需要在期權定價公式中增加一項:ΔtA·exp(-rT)·m,其中m是已經滿足時間轉換條件的時間單位數量
基于Pechtl模型的改動
我們對Pechtl的理論做一點小改動,如果某投資者能在認購期權價格超過行權價格的時候就獲得收益,并且收益的計算方式為*Δt,例如,Alice從Bob那里買了一個行權價格為110美元的認購期權,到期時間是1年。在這年里,價格在11月份突破了行權價,到達了120~130美元,而到了十二月份,價格下跌,跌破了90美元,雖然到期時間來臨時,期權價格仍然低于110美元,但是Alice仍然可以在11月獲得期權高于行權價的那部分收入。
考慮到在Pechtl模型中,收益為到期日后才獲得,所以在估算價格中,會有折現因子exp(-rT),其中r為無風險利率。那如果當時就行權,在第i個周期內,獲得概率的可能性應為:

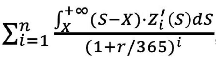
我們的認購期權模型中,另一個改動是超過行權價,投資者獲得的收益為??Δt,而不是像Pechtl模型中的固定常數A,在這種情況下,我們必須修訂Pechtl的公式,應該用每個??并累加。在數學上就是積分的形式:
模型中的另外一個改動就是:購買認購期權的投資者是立即獲得收益,而不是等到到期日之后才會獲得,因此需要把每天的收益折現到當前。考慮到無風險利率是r,那么每天的收益即為r/365,第i天的現值應該為:

把所有的Ci累加,就得到了這種期權的定價方式:

Python模擬
我們用Python模擬了這種認購期權的定價方式:假設現價為100美元,無風險利率為6%,波動率為26%,我們研究這種認購期權價格C和到期天數n之間的關系。

這種情況很符合日常感覺,如果到期天數長,風險增加,價格超過行權價的可能性也增加了。因此認購期權就貴了,但是增長幅度變慢了,如果到期天數無限大,價格應該會收斂到一個定值。
永續時間轉換期權的定價方式
在上式中令n趨近于無窮大,我們可以得到這種期權的定價模型為:

原文鏈接:https://medium.com/@Vincent.R.Jaipul/perpetual-timer-option-pricing-8bd9f4139e79
來源:中國電子報 原標題:《元宇宙,是時候進行一場切實有益的探索了》近日,韓國首爾發布元宇宙城市計劃,美國一塊數字土地被賣出243萬美元刮起“炒房熱”.
1900/1/1 0:00:00什么是NFT NFT英文全稱為Non-FungibleToken,翻譯成中文就是:非同質化代幣,具有不可分割、不可替代、獨一無二等特點.
1900/1/1 0:00:00據Forkast12月6日消息,韓國游戲開發商Krafton已在今年7月向NaverZ投資50億韓元,旨在進軍元宇宙市場.
1900/1/1 0:00:00據中新經緯消息,12月10日,三六零(601360.SH,下稱“360”)集團創始人、董事長周鴻祎在2021鳳凰網科技峰會上表示,如果元宇宙是為現實世界的數字化進步服務,解決產業互聯網的問題.
1900/1/1 0:00:00據CoinDesk消息,美國銀行在周二發布的一份研究報告中表示,本月早些時候公布的財政部報告《穩定幣報告》是監管穩定幣的“緊急跡象”,因為穩定幣有可能成為一種可行的支付方式.
1900/1/1 0:00:00當今市場競爭變得越來越動態和苛刻,導致競爭環境充滿挑戰。為了適應這種動態環境,供應鏈越來越依賴于接管者之間的協作、集成、靈活性和信任。因此,新技術應用在供應鏈中的重要性與日俱增.
1900/1/1 0:00:00