BTC/HKD-0.68%
ETH/HKD-1.92%
LTC/HKD-2.45%
ADA/HKD-1.21%
SOL/HKD-2.38%
XRP/HKD-0.33%前言
本篇是“PLONKVSGroth16”的下篇,在上篇中我們對PLONK作了簡要介紹,分析了PLONK和Groth16算法在「可信驗證」和「約束構建」上的異同。那么,接下來讓我們一起看看在后續的「證明生成」和「驗證階段」兩者將有怎樣的差異,以及整體上的性能區別。
證明生成
對于程序qeval,prover需要證明自己知道qeval(x)=35的解,即x=3。
defqeval(x):
y=x**3
returnx+y+5
在上篇中我們已經介紹了PLONK的約束形式:門約束與線約束。繼續使用之前的例子,約束意味著零知識證明系統將這個問題約束成了一組格式固定的數學表達式,即問題描述等價于約束描述。而如果證明者真的知道這個問題的答案,將答案和計算中的中間參數代入約束表達式,這個組表達式必將是成立的。反之,如果該Prover提供的一組解無法使表達式成立,說明prover并不具備關于該問題解的知識。
研究:即使加密賬戶密碼丟失或被騙,受訪者依然傾向于參與加密投資:8月4日消息,根據cryptovantage.com最近進行了關于加密資產存儲和密碼的研究,對1021名數字貨幣所有者進行了調查,結果顯示,受訪者平均投資7245美元,39.7%的人忘記了他們的密碼,無法恢復密碼的用戶平均損失了2134美元。32.6%受訪者成為加密詐騙的受害者,被騙個人平均損失約為538美元,但結論顯示,即使被騙過或密碼丟失等,投資者依然會選擇繼續其他加密投資。(Bitcoin.com)[2021/8/4 1:33:20]
這是最樸素的證明驗證思路,可以將它看作是“鎖”和“鑰匙的配對“:該問題約束的構建類似于“打造門鎖“,而針對該問題提供的一組解信息就是”一把開啟門鎖的鑰匙“。顯然,Prover可以舉著自己的解交給驗證者來驗證。可是這違背了我們的零知識原則:Verifier不應該獲取到Prover的隱私信息。
那么有什么方法能在解鎖的同時保護隱私信息呢?
聲音 | 知密大學發起人:區塊鏈的關鍵實際上是“密碼共識”:金色財經報道,知密大學發起人劉昌用強調,首先要明白區塊鏈究竟為什么有意義?它的核心價值是什么?具體來說主要有兩個方面,一是區塊鏈的關鍵實際上是“密碼共識”,即非對稱密碼和分布式共識的結合。而“區塊鏈”的定名和風行讓人們追求各種“鏈”的應用和技術,掩蓋了密碼共識構建全球信息社會新秩序的重大意義。二是加密經濟中的“加密”應該是“密碼”。區塊鏈的關鍵應用不是加密解密信息,而是簽名驗證、私鑰簽名、公鑰驗證,能夠在信息空間里識別身份、確認權屬、轉移權屬,這是構建信息社會秩序的技術基石。[2020/1/11]
這里我們用到一個簡單的數學小技巧:減除,對此不太了解的讀者可查閱文章最后的前置知識。在前文《超強進階:PLONKVSGroth16》我們已經對從約束系統轉化到多項式進行了詳細的描述,在此我們不再贅述具體的轉化過程,但需要重復的一點是:根據生成時使用的點值對,生成的多項式在這些點處的取值將恒為0。PLONK同理,此處我們給出兩種算法的約束系統轉化為多項式后的形式。
聲音 | 王小云:密碼技術將深度融合5G、區塊鏈等技術,為物聯網安全保駕護航:2019物聯網密碼應用專題峰會在無錫召開。密碼學家、中國科學院院士王小云在會上表示,物聯網絡設施,是經濟社會運行的神經中樞,也是可能遭到重點攻擊的目標,而密碼是保障物聯網網絡安全的核心技術和基礎支撐。密碼學是集數學、信息科學、計算機科學和物理學等于一體的深度交叉與融合的學科。密碼技術將深度融合5G、區塊鏈、人工智能、衛星通信等技術,為物聯網安全保駕護航。(經濟參考報)[2019/9/12]
Groth16:

PLONK:?我們設門約束多項式為D(X),線約束多項式為L(X),那么PLONK的整個約束多項式將被表示為:

動態 | 谷歌將采用密碼學以保持數據集的私密性:據wired報道,谷歌將發布一個名為Private Join and Compute的開源加密工具。它有助于連接來自不同數據集的數字列,以計算在整個數學過程中加密和不可讀數據的總和,計數或平均值。只有計算結果才能被所有各方解密和查看 - 這意味著你只能獲得結果,而不能獲得你未擁有的數據。該工具的加密原理可以追溯到20世紀70年代和90年代,但谷歌已經重新利用并更新它們,以便與當今功能更強大、更靈活的處理器配合使用。[2019/6/21]
可以看到,兩者都使用了減除的思路,也就是這里的h(X)和ZH(X),其具體內容取決于構建約束多項式時取的點值。
證明與驗證
同樣在之前的文章中,我們可以看到Groth16的證明規模極小,只包含三個群元素A,B,C。然而,這樣優雅的證明實現依賴于它的非通用可信設置,這也是Groth16的一大痛點。在Groth16中,證明方提供A,B,C,驗證方基于可信設置提供的參數,構建一個配對驗證等式。在驗證過程中包含了三次配對操作,也就是對驗證性能影響較大的耗時運算。Groth16的具體證明驗證如下所示。
金色財經現場報道 Ripple首席密碼學家:Ripple一直非常關注現實世界的支付用例:金色財經現場報道,今日Coindesk 2018共識會議正式在紐約開幕。在有關互操作性競賽的圓桌討論時,Ripple首席密碼學家David Schwartz表示:“我們一直非常關注現實世界的支付用例,這就是為什么Ripple構建了Interledger,這是一個并不關心人們使用什么網絡的簡單協議。”[2018/5/15]
Groth16證明:

Groth16驗證:

相比之下,PLONK的證明驗證將會復雜得多,這也是使用通用可信設置付出的代價。從驗證方角度看,由于可信設置參數缺少了包含問題具體內容,從而無法幫助其構建一些制約證明多項式的值。因此,如何固定住證明多項式的內容成為一個難題。PLONK使用的一個思路是引入Kate承諾。
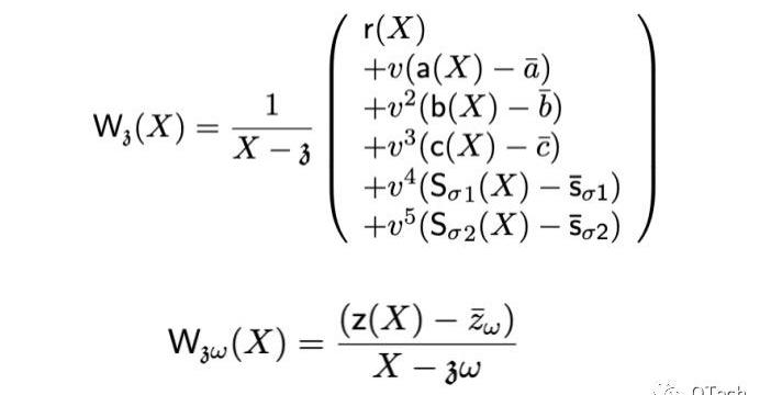
結合前述的約束多項式,我們可以對t(x)中出現的每一項都構建一個承諾,以實現驗證方的驗證。PLONK證明的具體內容如下,包含了兩個點處的驗證:Wz(X)為多個多項式的同點承諾,Wzw(X)則為另一個點處的對z(X)的承諾。

最后,PLONK的驗證在原文中也被歸納為一個簡潔的公式,實際上就是將上面提到的兩個點處的承諾簡單相加,具體等式如下所示:

以上就是PLONK和Groth16算法內容的具體對比結果,講了這么多冗長的公式變換,兩者在性能層面的差距究竟如何呢?
性能比較
在這里我們給出的是PLONK論文中的結論。Table1是在證明階段的一個性能比較,Table2則是驗證階段的性能。可以看出,在驗證上,兩者的差距不大,Groth16比PLONK多了一次配對運算;而在證明方面我們遺憾地發現,Groth16不論在證明的工作量還是證明長度上仍然保持著最優的性能。但需要指出的是PLONK,尤其當它工作在fast模式時,所使用的SRS長度是所有算法中最短的。

▲驗證階段性能比較

▲證明階段性能比較
前置知識
多項式減除
顧名思義,化減為除:若我們需要證明一個多項式f(x)在點a的取值為b,也就是證明f(a)-b=0;那么我們可以將其轉換為證明多項式f(x)-b可以整除(x-a)。其數學表示:
設多項式f(x)且f(a)=b,則存在一個多項式g(x),使得:f(x)-b=g(x)(x-a)
kate承諾Kate承諾是由Kate,Zaverucha和Goldberg在2010年提出的一種多項式承諾方案。Kate承諾有多種形式,本文僅介紹PLONK中使用的常用形式,詳細可參考其paper中的相應內容。其常用形式可以概括為對多項式的隱藏和部分打開驗證。針對多項式f(x),Kate承諾的具體步驟如下:
1)構造f(x)在點a處的承諾C
C:f(a)
2)選取點z,執行f(z)的opening
gz(x)=f(x)-f(z)/x-z
wz=gz(x)
3)給定f(z),C和Wz,驗證Kate承諾
C=wz*(a-z)+f(z)
以上就是“PLONKVSGroth16”的全部內容,如有任何疑問,歡迎添加小助手桔子加入技術交流群,在這里,你想知道的都會得到解答~

A.Kate,G.M.Zaverucha,andI.Goldberg.Constant-sizecommitmentstopolynomialsandtheirapplications.pages177–194,2010.
ArielGabizonandZacharyJ.WilliamsonandOanaCiobotaru.PLONK:PermutationsoverLagrange-basesforOecumenicalNoninteractiveargumentsofKnowledge.2019.
這個節日季,金融科技提供商Unbanked將為ToysforTots提供加密捐款,該項目由美國海軍陸戰隊運營,收集玩具分發給弱勢兒童.
1900/1/1 0:00:00圍繞資本市場技術創新的頂層推動一直在持續。日前,北京證監局發布了《關于就資本市場金融科技創新試點第一批試點項目方案公開征求意見的通知》,披露了證監會在北京地區首先啟動的資本市場金融科技創新試點工.
1900/1/1 0:00:00文章作者:VitalikButerin文章翻譯:Blockunicorn原標題:《VitalikButerin:以太坊終局之戰》特別感謝來自Optimism和Flashbots的一大批人對本文的.
1900/1/1 0:00:00從OpenSea數據可以看到,隨著元宇宙概念爆發,NFT在經歷一段時間“沉寂”之后熱度再次攀升。而且,其應用和玩法不再僅限于“天價頭像”和早期的加密藝術品.
1900/1/1 0:00:00據TheBlock消息,11月22日,國際貨幣基金組織工作人員在一份與中美洲國家的任務有關的結論聲明中寫道,由于比特幣帶來的金融和消費者風險,薩爾瓦多不應使用比特幣作為法定貨幣.
1900/1/1 0:00:00原文:秉燭的夜談 原文作者:吳桐、王龍 北京時間12月8日23時,美國眾議院金融服務委員會在國會山舉行了“數字資產和金融的未來:了解美國金融創新的挑戰和利益”為題的聽證會.
1900/1/1 0:00:00