BTC/HKD-0.19%
ETH/HKD-1.15%
LTC/HKD-1.85%
ADA/HKD-0.44%
SOL/HKD+0.19%
XRP/HKD-1.17%最近研究了下零知識證明算法-PLONK。肚子里的墨水又增加了,記一下學習成果與新的體會,和大家共同學習---江小白。
現狀
近些年,各種新的零知識證明算法層出不出,各有各的特點,各有各的優勢。借用V神系列文章里的一張圖來簡單呈現下當前的零知識證明算法現狀。

從圖中可以簡單總結出以下幾點:
理論上安全性最高的是STARKs算法,不依賴數學難題假設,具有抗量子性;Proof大小上最小的是SNARKs算法,如Groth16;PLONK算法在安全性上和Proof大小上,位于上述兩者之間;其他的這里不做過多闡述,如想了解零知識證明更多信息,可參考鏈接;對于SNARKs算法,繞不開的一個點就是中心化的TrustSetup,也稱之為CRS(theCommonReferenceString)。而無論是PGHR13,Groth16,還是GM17算法,它們的CRS都是一次性的,不可更新的。即,不同的問題將對應著不同的CRS,這在某些場景下,會變得比較麻煩。這些存在的問題,變成了PLONK,SONIC這類算法的一個優勢,它們算法雖然也需要中心化的可信設置,但是它的CRS具有一定的普適性。即,只要電路的大小不超過CRS的上限閾值,一些證明問題就可以共用一個CRS,這種CRS稱之為SRS(universalStructuredReferenceString),關于SRS的定義,詳細的可參考SONIC協議里的第3小節。PLONK算法繼用了SONIC算法的SRS的思想,但是在證明的效率上,做了很大的提升。接下來,讓我們詳細的介紹下PLONK算法的具體細節,主要從下面四個小節去分享:
網易“豬廠學習雞”發布數字藏品:2月7日消息,由網易人力資源部建立的用于分享學習的公眾號“豬廠學習雞”發布限定款Uniquer系列藏品,包括限時領取的“千雞千面”的新年flag盲盒(典藏款)和限量發放的學習雞周邊藏品(vip限定)。
據悉,每款藏品每人能且僅能收藏一份,作品版權歸豬廠學習雞所有。收藏后,用戶可以永遠在網易區塊鏈上查看個人藏品信息。[2022/2/8 9:36:36]
電路的設計--描述PLONK算法的電路的描述思想;置換論證或者置換校驗--復制約束,證明電路中門之間的一致性;多項式承諾--高效的證明多項式等式的成立;PLONK協議--PLONK協議剖析;電路
PLONK算法電路的描述和SONIC算法一直,具體的過程可以參考李星大牛的分享,已經寫的比較詳細且易懂。在這個小篇幅里,我想主要分享下我自己的兩點想法:
無論是什么樣的電路描述方式,電路的滿足性問題都要歸結于2點,門的約束關系和門之間的約束關系成立;在SNARKs系列的算法里,電路的描述單元都是以電路中有效的線為基本單元,具體的原理可以參考我之前分享的文章,而在PLONK,SONIC以及HALO算法里,電路的描述單元都是以門為基本單元。這兩種電路的不同描述方式帶來了一定的思考。那就是,之前在研究SNARKs算法時,我們都已經相信一個事實,“多項式等式成立,就代表著每個門的約束成立”,然后推斷,整個電路邏輯都是成立;在這個過程中,并沒有額外的去證明門之間的一致性成立;但是在PLONK算法里,除了要證明多項式等式成立外,還要額外的用置換論證的數學方法去證明門之間的約束關系,即復制約束。為何會有這樣的區別?希望有心的讀者能一起在評論區探討這個問題?我個人理解是因為電路的描述方式的不同:
學習時報:利用區塊鏈信息傳播機制應對輿情提高政府公信力:學習時報發表《以區塊鏈技術應對重大風險事件》文章,文章表示,當前,防控疫情態勢持續向好,但是疫情防控過程中也暴露出一些問題,集中體現在決策信息汲取、歸集機制不完善。對于基層政府而言,反應時間較長,缺乏及時、準確、可溯源驗證的信息發布途徑;信息交流不暢,治理工具結構性缺乏等。針對本次疫情中的問題,區塊鏈技術基于其去中心化、不可篡改、可追溯等特性,將區塊鏈技術作為疫情管理系統中的底層技術核心架構,對于提升信息的公開透明度、提升政府公信力、高效分配社會資源等領域具有很大幫助。利用區塊鏈信息傳播機制應對輿情提高政府公信力。(學習時報)[2020/3/20]
PLONK算法里,電路描述的單元是門,它為每個門定義了自己的L,R,O,因此需要證明門之間的一致性;SNARKs算法里,電路描述的單元是線,門與門之間的值用的是同一個witness,因此不用額外證明一致性;置換論證
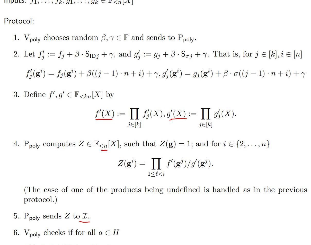
前面我們說過,在PLONK算法里,需要去證明門之間的約束關系成立。在做具體的原理解釋之前,我們先簡單的過一下PLONK協議的過程,如下圖所示:
聲音 | 學習時報:區塊鏈等技術快速發展,數字科技與普惠金融融合程度不斷加深:學習時報今日發表文章《數字科技助力普惠金融》。文章指出,近年來,隨著大數據、云計算、人工智能、區塊鏈等信息技術的快速發展,數字科技與普惠金融的融合程度不斷加深,數字科技日益成為我國破解普惠金融落地難點、實現普惠金融可持續發展的重要手段。文章中表示,數字科技有助于提升小微企業金融服務可得性,破解小微企業融資難融資貴難題;有助于提高金融服務的覆蓋面,解決金融服務“最后一公里”問題;有助于打通各參與方之間的數據通道,打造多元化普惠金融生態系統。[2020/2/14]
可描述為:
根據電路生成三個多項式,分別代表這電路的左輸入,右輸入,輸出;利用置換校驗協議,去證明復制約束關系成立;步驟3和4,校驗門的約束關系成立。其中第1點已經在電路小節里闡述過了,接下來,將詳細的講解多項式置換校驗的原理。先從簡單的場景去講解:
單個多項式的置換校驗
動態 | 工信部科技司組織開展“區塊鏈發展和展望”專題學習:工業和信息化部10月30日消息,10月29日下午,工信部科技司組織召開全司大會,開展“區塊鏈發展和展望”專題學習。會議強調,科技司全體干部要充分認識區塊鏈發展的重要性,著力推動區塊鏈和人工智能、物聯網等前沿信息技術深度融合,加快關鍵核心技術攻關,推進區塊鏈重點標準制定,為推動區塊鏈技術和產業創新發展提供有力支撐。(中國證券報)[2019/10/30]
其實就是證明對于某個多項式f,存在不同的兩個點x,y,滿足f(x)=f(y)。下面來看具體的原理:

上圖中加入了一個正例P,一個反例A,方便大家理解置換校驗的原理。有幾點需要解釋的是:
而經過仔細剖析Z的形式,不難發現,Z(n+1)其實就是兩個函數所有值的乘積的比值(不知是否等同于V神文章里的坐標累加器?)。理論上是等于1。因此,我們需要設計這樣的一個多項式Z,需滿足:deg(Z)<n
聲音 | 瀘州市陳衛東:要學習運用好“區塊鏈+供應鏈金融”科學創新模式:據四川新聞網消息,7月9日,四川瀘州市構建區塊鏈+供應鏈金融戰略布局接洽會在四川大學瀘州產業技術研究院召開。瀘州市科技和人才局副局長陳衛東指出,要進一步發揮川大瀘州產研院紐帶作用,建立供應鏈金融產學研協同創新機制,共同解決供應鏈金融實際問題。要學習運用好“區塊鏈+供應鏈金融”科學創新模式,逐步解決瀘州市主導產業融資難、融資貴難題。[2019/7/11]
Z(n+1)=1
2.乘法循環群剛好可以滿足這個條件,如果設計一個階為n的一個乘法循環群H,根據群的性質可以知道Z(g)=Z(g^(n+1))。因此,在設計Z時,會保證Z(g)=1;上圖中的自變量的取值也將從{1...n}變成{g...g^n}。所以在上圖中驗證的部分,a其實已經換成了群H里的所有元素。
3.根據論文中的協議,多項式Z是會發給可信第三方I驗證方V會從I處獲取到多項式Z在所有a處的取值,然后依次校驗。
下面具體看一下論文中的定義:
從定義中可以看出:多項式f,g在范圍內具有相同的值的集合;下面看一下論文中具體的協議部分,結合上述解釋的3點:

說明:圖4中的f,g對應圖3中的f。即f,g是同一個多項式。其實只要是相同的值的集合,也可以不用于是同一個多項式。圖3是一個特例而已。
跨多項式的校驗
其實就是證明對于某個多項式f,g,存在兩個點x,y,滿足f(x)=g(y)。與存在兩處不同:
多個多項式;不強制x,y的關系,即也可以等,也可以不等;有了(1)小節的基礎,這次我們先看一下相關的定義:

從定義可以看到,這次是兩個多項式集合見的置換校驗算法。從標注的部分可以看出:
兩個多項式集合仍然具有相同的值的結合;為了區分集合里的多項式,自變量的索引得區分開來;因此,可以想象的到,如果存在兩個多項式f,g,想要證明f(x)=g(y),那么根據以上描述可以判斷{f1,f2}={f,g}={g1,g2}。也保證了上述第1點的成立。
下面我們看一下具體的原理:

和(1)小節相比,證明方P增加了些工作量,驗證方V工作量不變。結合上述描述,也能很容易的理解其數學原理。
說明:至此,其實我們已經慢慢的接觸到PLONK算法的核心了,前面我們講到,電路的滿足性問題除了門的約束關系還有門之間的約束關系。
比如一個輸入x,它既是一個乘法門的左輸入,又是另外一個乘法門的右輸入,這就需要去證明L(m)=R(n),這就是跨多項式的置換校驗。
下面再給出論文里的協議內容:

至此,本篇文章已經描述了,在PLONK算法里,電路的設計以及復制約束的成立驗證兩大部分,接下來,將會另起一片文章,去分享門約束的成立和整個協議的具體步驟。
以上都是作者小白的個人理解,還希望各位讀者多多指教,謝謝。
據華夏時報消息,近日,在FBEC2020全球區塊鏈產業未來發展峰會上,華為區塊鏈首席戰略官張小軍表示,從當前來看,區塊鏈以智能合約、加密算法、分布式算法等技術貫穿發展.
1900/1/1 0:00:00來源/LongHash 2020年末使這一年成為了比特幣歷史上令人驚嘆的一年。在此,我們不妨回顧一下加密業內人士對BTC在2020年末的價格的一些預測.
1900/1/1 0:00:00巴比特現場報道,12月19日,2020CCF區塊鏈技術大會暨首屆中國濟南區塊鏈產業發展高峰論壇在山東濟南舉行.
1900/1/1 0:00:00據Cointelegraph消息,在針對西班牙加密貨幣交易機器人開發商Arbistar的四起集體訴訟中,律師CarlosAranguez表示.
1900/1/1 0:00:00注:原文作者是BitcoinCore項目現任首席維護者WladimirvanderLaan,對于近期Bitcoincore.org刪除比特幣白皮書引起的風波,他表示自己倍感壓力.
1900/1/1 0:00:00本文原發于王永利 作者:王永利前中國銀行副行長2020年10月中旬,深圳以財政出資1000萬元,以注冊成功的個人抽簽中標方式投放5萬個紅包,通過指定銀行轉換成數字人民幣.
1900/1/1 0:00:00