BTC/HKD-0.48%
ETH/HKD-1.22%
LTC/HKD-1.21%
ADA/HKD-2.06%
SOL/HKD-1.28%
XRP/HKD-0.99%建議讀者先閱讀文章上篇《對eth2里MEV的初步探索(上)》
新的共識參與者
雖然上面的定量分析對開始思考eth2中的MEV問題很重要,但沒有對它的參與者的定性分析是不完整的。如前所述,哈希率離開了需要質押ETH的eth2舞臺。礦工和礦池被新的參與者取代了——對大量ETH持有控制權的交易所、協議庫、投資基金和驗證者庫等。根據目前beaconcha.in上的數據,eth2驗證者集的eth1存款地址分布可以看出這一點了。

值得注意的是,這個餅圖并沒有區分擁有共識投票權的最終實體和它運行所在的基礎設施。盡管共識投票權中心化問題堪憂,基礎設施中心化的情況則沒這么嚴重,因為PoS的經濟激勵機制鼓勵設施去中心化,以盡量減少相關的罰沒風險。
具體來說,這意味著像Kraken這樣持有大量ETH的交易所可能會通過以下途徑來減少罰沒風險:把它們的押金質押在多個基礎設施提供商、在不同地區、使用不同的硬件和客戶端運行,而不是內部承擔這個巨大的基礎設施投入與運維。
美國SEC稱法院應允許對 \"Let's Go Brandon\"發出傳票:金色財經報道,在周四提交的法庭文件中,美國證券交易委員會要求法院駁回一項動議,該動議要求撤銷有關其調查保守派memecoin \"Let's Go Brandon\"是否為證券的傳票。
今年1月,該機構傳喚了邁阿密對沖基金經理James Koutoulas,他也是LGBcoin基金會的受托人。在該機構今年早些時候發出傳票后,Koutoulas起訴了SEC,稱LGBcoin不是證券,因此不違反證券法。但SEC辯稱,Koutoulas對其調查的質疑缺乏足夠的理由來撤銷傳票。[2023/7/15 10:56:30]
交易所
eht2中最明顯的權力關系變化是交易所作為最大的ETH持有者成為了最大的驗證者。像Coinbase、Binance和Kraken這些中心化企業將可能控制最多的驗證者slot。這些參與者所受的法律監管不同于礦池,且在非常多方面享有聲譽。這些差異將可能對驗證者格局產生不同于礦工格局的新影響,可能影響驗證者參與的活動,例如它們接受收入的MEV類型。
區塊鏈網絡 Horizen 將于下周對 Yuma 測試網進行壓力測試:3月5日消息,支持零知識的區塊鏈網絡 Horizen 宣布將于 3 月 6 日開始的一周對 Yuma Testnet 進行預定的壓力測試,在測試期間可能會發生潛在的網絡停機。測試的目的是通過增加超出正常情況限制的鏈上活動來檢查 EON 平臺的穩健性和錯誤處理能力。Yuma 區塊瀏覽器可能會在區塊中顯示大量交易,可能會因流量異常高而出現臨時中斷。
此前,Horizen 的公共 EVM 兼容側鏈和智能合約平臺 HorizenEON 于 2 月 25 日上線 Yuma Testnet。[2023/3/5 12:43:18]
有趣的是,這些實體還從事質押以外的若干活動,這可能會為這些交易所提供的現有服務和MEV提取帶來協同效應的新機會。這里提到的包括提供特快交易、在交易還沒被打包到鏈上前提供隱私加密貨幣提款,以及更低的鏈上費用,相當于用作訂單流的加密貨幣本地支付。
提供的這些服務一開始可能是優勢,并能吸引用戶遷移到提供這些服務的交易所,結果會讓不提供或出于規管原因無法提供這些服務的交易所受損。此外,交易所在MEV游戲里的垂直整合(例如,交易所運行它們的機器人提交交易到它們的驗證者節點)也是一個隱憂,值得我們深入研究。
趙長鵬質疑美國證券交易委員會對 BNB 的調查:金色財經報道,幣安創始人兼首席執行官趙長鵬表示,美國證券交易委員會(SEC)一直在“詢問”有關 BNB 交易所代幣的問題,但該交易所尚未被傳喚。CZ 在2022 年共識大會上告訴觀眾,美國證券交易委員會定期詢問有關幣安及其產品的問題,交易所與當局保持定期聯系。另外,Binance 正在接受司法部、商品期貨交易委員會 (CFTC) 和美國國稅局的調查。CZ 還表示,雖然他有一個銀行賬戶,但他并不經常使用它。(coindesk)[2022/6/13 4:20:45]
驗證者池
eth2的另一個重要轉變是驗證者池的出現,它們提供的好處包括:減低質押所需的最低ETH數額、啟動面向客戶的驗證者、抵消來自區塊提議運氣(MEV+交易費用)帶來的差異,并提供額外的服務,例如基于它們管理的資金基礎的質押衍生品。
像Rocketpool和Lido這樣的元池的出現是一個有趣現象。這些實體與非常多驗證者池連接,并可能成為質押量的重要來源,因此可以對驗證者池施加影響,例如它們采用MEV類型和提供給質押者的利潤份額。
分析 | 三大交易所BTC合約持倉量小幅下降 BTC/USD Coinbase對 Bitfinex保持負溢價 ?:據TokenGazer數據分析顯示:截止至9月26日18:00,BTC價格為$8,440.82,市值為$151,215.11M;主流交易所24H BTC交易量約為$986.43M,環比昨日縮水56.87%;BTC活躍地址數略有下滑、鏈上交易量平穩波動,出塊時間約為8.7min,市值占比平穩波動,目前約為68.3%;BTC 30天ROI持續下滑;期貨方面,OKEx、火幣、BitMEX的比特幣合約持倉量相比昨日都小幅下降,OKEx比特幣精英多頭持倉比例上升;交易所方面,日內BTC/USD Coinbase對BTC/USD Bitfinex保持負溢價狀態。
UTC?9月25日,在比特幣小幅下跌的情況下,前期下跌較多的主流幣有所反彈。由于波動加大,雖然比特幣和以太坊的成交量較前一日有所下降,但成交依然比較活躍。[2019/9/26]
這些元池通常提供質押衍生品。這方面的一個例子是,元池能給用戶提供代表質押存款(一般鎖在信標鏈上)的流動代幣,這些代幣可以在網絡的其他地方使用。允許在DeFi中使用流動的質押ETH代幣將進一步增加驗證者在MEV上賺取的收益。
動態 | eToroX 實驗室將對 Libra 編程語言 Move 進行試驗:全球多資產交易平臺 eToro 旗下加密貨幣交易所 eToroX 的區塊鏈實驗室團隊宣布將對 Facebook 區塊鏈 Libra 使用的編程語言 Move 進行試驗,使用部署在以太坊區塊鏈上的 eToken 實施,測試代幣如何在 Libra 上運行。eToroX 團隊表示 Move 類似編程語言 Rust,但 Move 以不同的方式定義資源:Move 不允許移動或復制資源,目的是防止意外重復和丟失;Move 會阻止代表其他用戶發布數據,因此用戶需要確認所發布的所有內容,使他們能夠完全控制選擇共享的信息。[2019/6/28]
回顧上文對基礎設施去中心化的論述,不難發現交易所是另一種類型的元池,因為它們也可以在后端與驗證者基礎設施連接。交易所也很可能會提供質押衍生品服務,這些傳統機構與本地運行節點的質押者將在多個維度上展開競爭,如去中心化、流動性護城河、以及規管上的靈活性。
開放性問題
我們對eth2里MEV問題的探索發現了許多開放性問題,我們計劃在未來幾個月內進行研究。下面是其中四個:
eth1區塊提議者市場
由于現在實際上有兩個客戶端需要運行(eth1+信標),單獨驗證者的eth1節點很可能就默認選擇像Infura這樣的服務提供商,因為自己運行的開銷很大。這可能在一開始就隱含著eth1和eth2節點的運行者是分開的。假設這種情況鋪開發展,可以想象運行高性能硬件和MEV模擬軟件的eth1節點運行者會形成市場競爭,以滿足eth2區塊提議者的需求。
MEV搜索優化的新限制
eth2里仍然會有像價格套利和清算這樣的MEV機會,但MEV提取所在的系統有一些新的參數,它們可能會改變或引進對MEV提取的限制。
出塊時間現在是固定在12秒,而不像在eth1中是可變的,而提議者slot是在每個epoch開始時就分配的,這意味著提議者最多有6.4分鐘的時間計算他們的任務(在epoch開始時就分配到的提議者的時間肯定少于6.4分鐘)。這不僅為驗證者提供了更多的時間在eth1客戶端交易池上運行最佳的MEV提取計算工作,而且由于出塊時間的可預測性,模擬和執行會變得更容易。
這表明,如果用于計算和執行MEV提取策略有更長、更可預測的時間間隔,MEV提取可能需要更復雜、更大量的計算。
領導者選舉機制變更
驗證者會提前知道他們是否有機會做區塊提議(除非是新epoch的第一個slot)。他們甚至可以在一個epoch里做多個區塊的提議者。區塊提議者的保證是如何改變MEV提取的?那多個區塊提議者或連續多個區塊提議者的保證呢?
特別地,大型驗證者池或交易所很可能分到同一個epoch里多個連續的slot。當某單一實體持有多個連續slot并把它們組成的“元slot”的時候,可能會出現多個區塊MEV提取的情況,這可能會制造出一個新的攻擊向量。?
二層網絡與分片
這篇文章的大部分內容都假設eth1區塊的內容保持現在的樣子。然而現實是,大量的交易流將被移到二層,而一層會用作數據可用性層,zk-rollup和optimisticrollup會提交排好序的批次交易。
按照直覺,這將降低驗證者從MEV中獲得的價值。然而,情況會難以預測,因為多個二層網絡會帶來額外的復雜性,可能會有新的MEV形式(例如跨二層網絡、一層與二層間)出現。另外,在跨二層的交互里,eth1內的交易批次排序可能仍然非常重要。
同樣地,隨著eth2不斷發展、分片進入成熟階段,信標區塊里分片的排序也會變得重要,MEV可能會成為促進分片交錯的激勵機制。
譯者注:對《eth2里MEV的初步探索(上)》的以下地方翻譯進行更正。
在段落“以時間和REV分布作為變量進行分析”中:
現在加上每個區塊記錄在Flashbots的被檢測到的可提取價值(RealizedExtractableValue,REV)的平均值
改為:現在加上每個區塊記錄在Flashbots的每個區塊給礦工的實際可提取價值(RealizedExtractableValue,REV)的平均值
沒有MEV提取與有MEV提取的情況相比,這3個級別的表現現在是沒有區別的。這表明,MEV提取加劇了由區塊提議運氣帶來的不平等。
改為:沒有MEV提取的三個級別在這個圖表里是無法辨識出來的。這表明,MEV提取加劇了由區塊提議運氣帶來的不平等。
最后,我們擔心MEV會使eth2中的寡頭情況變嚴重——有最多32個ETH作為押金的實體比那些擁有更少的能更快獲得財富(富者更富的態勢)。
改為:最后,我們擔心MEV會使eth2中的寡頭情況變嚴重——有最多份32個ETH作為押金的實體比那些擁有更少的能更快獲得財富(富者更富的態勢)。
.如果想了解更多質押池與質押衍生品,請閱讀這篇文章《以太坊2.0質押池與質押衍生品》
.https://benjaminion.xyz/eth2-annotated-spec/phase0/beacon-chain/#compute_proposer_index?
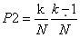
.如果一個池有總驗證者數N中的k個驗證者,產生一個獨立slot的概率是p=k/N。在一個epoch里產生池里兩個連續slot的概率是:

(因為現在唯一驗證者可以在不同epoch中產生相鄰的slot,在放開了單個epoch的限制后,生成連續兩個slot的概率實際上會稍微高一點——對于我們在這里關心的更大k值來說,這是一個微小影響)。如果我們取相近的數,N=120k是總驗證者數,最大的池(Kraken)運行其中的k=20k個驗證者節點,我們得到p?0.17和p2?0.026,也就是2.6%。
.?另外,Vitalik在這篇文章里也提到在epoch末對連續slot控制的隨機性操縱是存在隱憂的
.Vitalik的這篇研究有更多激勵分片交錯的內容
美聯儲將于北京時間凌晨發布后利率決議及經濟預期,由于此前美國公布的通脹數據高于預期,市場高度關注本次FOMC決議,擔心美聯儲會釋放鷹派信號.
1900/1/1 0:00:00近日,薩爾瓦多通過了《比特幣法案》,比特幣作為法定貨幣。這標志著,比特幣在該國享有計價、支付、繳稅,以及免除資本利得稅等類近于法定貨幣的權能或地位.
1900/1/1 0:00:00端午節第一天,伴隨云南、青海等多地大舉“圍剿”挖礦,比特幣價格繼續大跌。比特幣價格一度24小時跌超7%,報34600美元/枚.
1900/1/1 0:00:002021年6月10日,十三屆全國人大常委會第二十九次會議正式表決通過數據安全法。從數據安全法草案公布開始,這部法律就一直打著確定數據安全制度,加大處罰力度的旗號.
1900/1/1 0:00:00DelphiDigital正在從以太坊殺入Terra。在過去的幾年里,DelphiDigital與Aave、Synthetix、Axie等DeFi協議密切合作,并為他們設計了經濟系統.
1900/1/1 0:00:00原標題:TheBigDifferenceBetweenaDigitalDollarandaCBDC作者:JoeWeisenthal|BloombergTV知名主持人、經濟學家 編譯:ChenZo.
1900/1/1 0:00:00