BTC/HKD+0.82%
ETH/HKD+0.95%
LTC/HKD-0.36%
ADA/HKD+0.42%
SOL/HKD+0.18%
XRP/HKD+0.28%作者:StevenLi
來源:IPFS原力區
老子曰:“人法地、地法天、天法道、道法自然”。在區塊鏈的實踐中,由于是建立CodeisLaw的體系,遵循InMathWeTrust的法則。在一個不受個體控制的網絡,遵循自然的法則尤其重要。我提倡Filecoin的設計從簡、自然。也是這個道理。
自然常數e,是一個神奇的數,在數學中又極為自然。本文講一講Filecoin的共識機制的實現進化與自然常數e的關系。
內容提要
一、自然常數e
二、初期預期共識空塊率過高:1/e
三、預期共識的實現是一個不段發現的過程
四、tipset區塊數預期提升,安全性和效率的兼顧
五、讓每一個字節都參與投票:優雅的密碼抽簽+e
數學常數e
e被成為自然常數,在數學家的眼里,這個常數非常自然。但是,對于普通人而言,對于e,由于沒有形象化的描述,就很難理解。本文通過e在Filecoin中的應用,希望能夠找到一些點,能夠幫助大家1)了解Filecoin的一些設計;2)通過Filecoin得到一點e的形象化的描述和印象。
常見的比較復雜的有意思的數學常數有兩個,一個是?π,一個是e。大家對π都非常熟悉,因為它有一個非常形象化的名字,叫圓周率,也就是說是任何一個圓的周長和直徑的比值。非常形象,非常容易理解。小學不學的話,初中總會學到了。
聲音 | 光明日報:充分運用區塊鏈等新技術 創新黨建工作載體和方式方法:《光明日報》今天發表題為“將黨的優勢轉化為城市精細化治理優勢”的評論文章。文中提到,要運用網絡信息技術手段,提升智慧黨建引領社會治理水平。充分運用大數據、區塊鏈、人工智能等新技術,創新黨建工作載體和方式方法,構建全天候、全覆蓋、立體化的智慧黨建工作體系。統籌推進智慧黨建和智慧城市建設,設立大數據中心歸集分散于各部門的基礎信息和數字資源,共建共享技術支撐平臺、大數據應用平臺。[2019/10/23]
其實e是與?π同等重要的一個數學常數,在數學中的使用一點也不比π少。比如就在我們今天所討論的Filecoin區塊鏈中,e在很多地方被使用,而π則不然,基本上沒有被用到。
π=3.1415926535897......
e=2.718281828459045......
π和e同為超越數,即不是代數數,當然也是無理數,無限不循環小數。
但其實,e和?π在數學中有非常緊密的關系。甚至可以說,e就是?π的另一種表示方法。為什么呢,請看最優雅數學公式-歐拉公式:

為什么優雅,這個一個簡單的公式把數學中的5個元素十分簡單地統一在一起了。就像物理學家希望統一力場一樣,數學家也有把總結簡潔規律的偏執。
揚州市政府:圍繞區塊鏈等技術 提升軟件和互聯網產業首位度:新華日報6月11日報道,揚州市政府辦公室印發《關于加快“三大創新板塊”建設的實施意見》,全力提升軟件和互聯網產業首位度。未來三年,圍繞云計算、物聯網、大數據以及人工智能、區塊鏈等前沿領域、前沿技術,采取資源共享、錯位競爭的方式,吸引國內外知名軟件和互聯網企業在江廣融合區設立中心,加快構筑軟件和互聯網產業發展的核心區、示范區。[2018/6/11]
這個公式也表達了e和?π的簡單直接的關系。當然,他們之間還有一些有意思的關系,比如:

但是,這些仿佛把事情更加復雜化了,對于e本身的理解并沒有幫助。到底e是什么呢?數學中會講,e是自然對數的底,它的一個總要特點就是e^x的導數還是e^x,同時,e可以通過下式來表達和計算:

稍微形象一點的表達,就是在復利的計算上,e表達一個在一段時間內翻倍增長的利率,進行極限的連續復利計算能夠達到的極限值。也就是說,如果年利率是100%,你如果無限細分一年到n個時間段,那么每個時間段的利率為1/n,而最終你能得到的連本帶利的收入為e倍,也就是2.7倍多一些。
丹華資本張首晟:看好區塊鏈技術 呼吁大家關注歐洲區塊鏈的發展:丹華資本創始人、美圖獨立董事張首晟表示,看好區塊鏈技術,丹華資本非常關注區塊鏈,也投資了多家區塊鏈項目。對于中美區塊鏈項目發展的差異,張首晟表示,兩邊都做得很好,他強調,大家也要多關注歐洲區塊鏈的發展。[2018/3/25]
這仍然不夠形象,那么下面映射到Filecoin的共識機制來看一看。
Filecoin預期共識與自然常數的關系
先來復習一下Filecoin白皮書里面描述的預期共識。在go-filecoin的早期實現中,采用的是簡單的預期共識,也就是說,每一個礦工按照自己的算力與總算力的比來獲得出塊權的概率。因為所有礦工的算力之和等于總算力,所以系統每一輪的總出塊概率的期望值為1。簡單來說,就是每一輪平均出一個塊,但是,每個礦工獨立計算,因此,每一輪的出塊數可能是各種各樣的。
那么在這種情況下,我們建立一個簡單模型來進行一個推演。假設系統中的礦工數為n,每個礦工的算力占比為1/n,那么,每一輪呢每個礦工的出塊概率為1/n。
這樣,一輪中出現空塊的概率為:

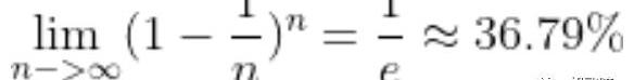
如果n足夠大,那么,可以求得:
青瓦臺:韓國將積極扶持區塊鏈技術 不會禁止數字貨幣交易:據路透消息,青瓦臺表示,韓國將積極扶持區塊鏈技術,計劃在今年上半年宣布發展區塊鏈的計劃,并表示打擊數字貨幣的非法行為是韓國政府的職責,韓國將專注于提高數字貨幣交易的透明度,而非禁止交易,韓國將繼續就機構對數字貨幣交易的不公平行為作出堅定回應,評估對數字貨幣的稅收制度。[2018/2/14]

也就是空輪的概率超過三分之一,這個就太高了。
那么出塊數為1的概率有多大呢,可以簡單做如下計算:

仍然只有三分之一多一點。剩下的不到三分之一的概率都是多塊的輪次。這個結論與開發網當時的測試是完全吻合的。
從這里,我們找到了一個對于自然常數e的一個更形象化的解釋,那就是:在一個有很多人參與的獨立投票選舉中,每個人的贏得選舉的概率相同,同時預期贏得選舉人數為1的情況下,不能得出選舉結果的概率為e的倒數,也就是1/e。
預期共識的實現是一個不斷發現的過程
開發網出現的空塊率過高的情況,我們做了模擬,并與Filecoin研究開發團隊進行了討論。顯然,這么高的空塊輪次比例是不好的,這是的區塊時間不固定,交易時間預測起來也比較困難。
沃爾瑪利用區塊鏈分類賬技術 可以將產品追溯回農場:沃爾瑪公司開始利用在線分類賬技術來管理芒果,漿果和幾十種其他產品的供應鏈數據。這個系統是由國際商業機器公司(International Business Machines Corp.)制造,在沃爾瑪測試區塊鏈可追溯性的過程中,沃爾瑪員工可以檢查貨架上或后臺的產品,并用零售商的智能應用程序追溯到農場。在產品召回過的過程中可以追溯不合格食物的來源。[2018/2/7]
那么,一個簡單的改動是什么呢?那就是增加每一輪的區塊預期數量。因為預期共識本來一輪就可能出現多個區塊,在實現中采用tipset的方式進行組合,那么增加區塊的預期數量,對于設計實現而言非常簡單。
在測試網之前,Filecoin實現引入了預期每輪區塊數這個概念,這個被定義為E。當前默認:E=5
既然,預期區塊數提高了,最簡單的方法就是把每個礦工的出塊概率提高5倍。但是,礦工出塊的計算采用擲骰子的方式。也就是產生一個256位空間中的一個數,來比較自己的算力占比,從而判斷是否擁有出塊權。這里就有一個數據越界的問題。Filecoin的實現在這個判斷上走過三個階段:
階段一:每個礦工按照自己的算力再進行切分,分別按照更小的份額進行選舉,如果贏得選舉就獲得一票。相同默認算力都按照每25個sector來進行統一切分。這個辦法的好處是每一個選舉人算力都基本一樣,進行公平選舉。但是,由于每25個sector都要進行單獨計算,每一個部分都需要I/O訪問,時間消耗較大。Filecoin團隊的最初目的是把這個出塊權和時空證明放在一起。但是,最后從安全的角度來考慮,由于計算相對復雜,還是放棄了。
階段二:直接極致簡化,不考慮越界的問題,直接乘以5進行比較計算。這個是在時空證明已經通過WindowedPoSt替代SurprisedPoSt的情況下的一個簡化措施。但是,這樣做有兩個問題:1)對于算力大于20%的礦工肯定是吃虧的;2)當礦工算力足夠大時,一定能夠贏得選舉。這第二個問題比較嚴重。我們慎重提出,這是一個安全問題,應該改。
階段三:采用密碼抽簽的方式,借鑒Algorand采用的算法。逐漸走向完善。
讓每一個字節都參與投票
Algorand的密碼抽簽是一個非常好的概率分布在選舉上的應用,對于區塊鏈POS網絡而言,非常棒。實現起來比較簡單直接。其具體算法如下:

這里不做詳細解釋,需要的人可以查詢相關資料。簡單地說,就是在POS選舉過程中,當你憑借自己產生的可驗證隨機數進行抽簽的時候,可以通過你自己的份額和相應二項式分布來看你落在哪一個區間,從而判斷你獲得了多少選票。
二項式分布是n個相同概率的獨立時間單獨計算而后相加的一個分布,而且整個分布正好切分整個概率空間。因此只需要看你的可驗證隨機數在那個空間就可以了。
那么對于Filecoin而言,參與選舉的份額就是你的算力。如果按照前文中說的階段二的方式,可以再進行細分,那么可以考慮為每一個字節都參與投票。這樣一來,參與投票的選舉人數量非常大,整個計算不用采用二項式分布,完全可以采用泊松分布來進行計算。泊松分布的計算公式如下:

這里?λ是自己的份額與預期總選舉票數的乘積。在Filecoin中,它就是
E*mPow/totPow;k是獲得選舉權的數量。
看一下上式,是不是很神奇?自然常數e再一次用到了Filecoin的選舉的計算之中。采用泊松分布進行計算是Filecoin的一個改進,非常符合Filecoin的特點,同時計算也非常簡單。
采用密碼抽簽之后,就不能保證每一輪都一定會有礦工拿到出塊權了,這很正常,因為每個人都自己擲骰子,出塊權的計算是獨立的。這樣的話,實際上每一輪贏得不同的出塊選票的概率有多大呢?簡單做一個模擬可以得出下表:

這里空輪的概率是e^-5。
也就是說,預期大約不到200個高度就會出現一個空輪。看起來還好。而每輪選票數為3,4,5,6,7分布較多也比較均勻。選票數高達15張的情況也不少,大概萬分之1.6。
看到這里,您可能會想,e是不是與概率的關系比較大,其實我可以告訴你,π在有些時候也會用到概率計算之中。因為這兩個常數就是有牽扯不清的關系。
Filecoin中自然常數不僅僅用于選舉
自然常數e在選舉之中的使用,至此顯得非常自然,而且也比較優雅。
同時,Filecoin在Token釋放上,也利用e進行計算。這個與概率無關,而是與衰減有關。Filecoin不采用周期性減半的方式進行Token釋放,而是模仿放射性衰減,也就是指數衰減。白皮書設計為6年減半。而一般說來,衰減的公式可以寫為:

上式可以理解為:初始Token為N0,隨時間推移,系統通過釋放,在t時間點系統中還應該保留的Token量N(t)的計算公式。
看這里,再一次出現了自然常數e。當然這里不一定非要用e的。但是由于e的使用非常廣泛了,用起來方便順手。所以基本上現在這是一種統一的用法。
今年五月份比特幣第三次減半至今,礦業的格局發生了實質上的改變。盡管從整體來看,比特幣礦業的體量維持上漲的趨勢,但是算力的分布、礦工群體的數量、挖礦收益構成等等均已發生了深刻的改變.
1900/1/1 0:00:00作者:RahulN. 翻譯:Liam 比特幣等主要加密貨幣依然保持著主導地位,但穩定幣似乎也在不斷壯大。而且它們在主流區塊鏈上的交易量也越來越大.
1900/1/1 0:00:00過去一周,沉寂多時的加密市場迎來復蘇,市值最高的加密貨幣比特幣突破9700美元,以太坊已突破300美元。 加密貨幣 加密市場在過去一個月中持續疲軟,比特幣的價格始終在9200美元上方小幅震蕩.
1900/1/1 0:00:00在“云算力、Filecoin主網上線、各大礦商算力戰”等事件推動下,Filecoin已成為繼DeFi、ETH2.0之后的,區塊鏈行業2020年第三大熱點.
1900/1/1 0:00:00作者:Joss 來源:IPFS原力區 “產業區塊鏈旨在解決商業環境中平等參與者之間的特定業務問題,比如,優化業務流程、降低成本、消除中間人等,其與產業、商業、交易等結合.
1900/1/1 0:00:00近日,伴隨著黃金、白銀價格屢創新高,有“數字黃金”之稱的比特幣也沒辜負期望,站上一萬美元大關。在主流幣和山寨幣的聯動上漲下,加密貨幣市場持續走強,成為一道靚麗風景線.
1900/1/1 0:00:00