BTC/HKD-2.26%
ETH/HKD-2.06%
LTC/HKD-3.95%
ADA/HKD-2.15%
SOL/HKD-3.82%
XRP/HKD+2.43%RICS



則R1CS成立。
TransitionintoPolynomial(efficiency)
Prepare

Definepolynomial

2.為向量z=(x,w)定義多項式

3.為矩陣A,B,C定義多項式?
為了減小verifier計算的復雜度,這里用了一個特殊的形式來表示矩陣,以上述示例的矩陣A為例:
外媒:韓國加密交易所Gopax向項目方收取上幣費用:2月13日消息,韓國5大加密交易所之一的Gopax被爆一直在向加密項目收取上幣費用。該媒體稱其獲得的Gopax上市詢價郵件顯示,Gopax向項目方收取上市費,作為項目方的代幣在交易所上市的條件。郵件發件人為Gopax普通員工,抄送Gopax總監級高管。經證實,他們負責該交易所的營銷和業務。根據項目的不同,Gopax要求收取的金額從數萬韓元到數億韓元不等,并要求以美元或等值的比特幣支付金額。
Gopax并沒有否認收取上市費用的事實。Gopax的相關人士解釋說:“這是以運營費的名義收取的。如果在上幣審查過程中項目被取消上幣,就全額返還費用,上幣時還會發放稅務發票。”
此前2月3日消息,幣安已通過“行業復蘇計劃”收購韓國加密交易所Gopax的多數股權。(IT Chosun)[2023/2/13 12:03:48]


Linearitycheck

灰度比特幣信托負溢價率擴大至42.09%:金色財經報道,Tokenview鏈上數據顯示,當前灰度總持倉量達200.67億美元,主流幣種信托溢價率如下:BTC,-42.09%;ETH,-49.77%;ETC,-67.82%;LTC,-55.64%;BCH,-37.93%。[2023/1/26 11:31:05]


可以看出,當多項式t(X)取遍H值時,滿足:

同樣,也可以從公式推導:


AHPforR1CS
Common

工程元宇宙初創公司Trezi完成超200萬美元新一輪融資:1月11日消息,元宇宙初創公司 Trezi 宣布完成一筆超 200 萬美元的新一輪融資,World V、YourNest Venture Capital、以及 Auxano Capital 和 She Capital 領投。Trezi 的元宇宙平臺主要利用沉浸式技術幫助基礎建設行業用戶進行交流和協作,用戶可以上傳建筑模型進行實時查看、編輯和遠程合作,該公司計劃利用新資金加速元宇宙平臺開發并拓展其他潛力市場。[2023/1/11 11:06:13]
Prover
=>Prover

=>Oracle

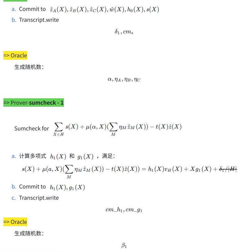
=>Prover?-sumcheck-1

=>Oracle

NFT加密基金Spencer Ventures已籌集450萬美元:金色財經報道,專注于 NFT 的加密基金 Spencer Ventures 已籌集了 450 萬美元資金, 30 位投資方主要來自芝加哥和美國中西部地區,其中包括一些機構級家族辦公室。創始人兼基金經理 Spencer Gordon-Sand 表示,希望增加數字資產敞口的機構正在轉向 NFT,而大多數頂級基金,例如來自 Grayscale 或 Galaxy Digital 的基金,只提供以太坊或比特幣的敞口。Spencer Ventures 著眼于高流動性的收藏品,到目前為止僅部署了總資本的 20%。(Blockworks)[2022/9/26 22:30:51]
=>Prover-?sumcheck-1

=>Prover-?sumcheck-2

=>Oracle

=>Prover-?sumcheck-2
礦企Foundry推出物流部門Foundry Logistics:7月28日消息,比特幣挖礦基礎設施提供商Foundry Digital LLC已啟動了一個新的物流部門,以簡化與購買新的比特幣挖礦硬件相關的許多障礙。Foundry Logistics 通過為客戶提供清關、保險指導、海運解決方案、國家倉庫解決方案和其他國內物流,確保新硬件的成本效益和可預測的交付。[2022/7/28 2:44:07]

=>Prover-?sumcheck-3

=>Oracle

=>Prover-?sumcheck-3

Verifier
=>Verifier-sumcheck-3

=>Verifier-sumcheck-2
Recalltheequality

=>Verifier-sumcheck-1
Recalltheequality

=>Verifier

Polynomialcommitment?
協議總共進行了三輪交互,每輪交互承諾的多項式,以及query的點如下:

Optimization
Sum(s(X))=0
生成隨機多項式:

Reducesumcheck?
根據COS20.Claim6.7論?提到的優化,我們令:

Common

Prover




Verifier

ReducepolynomialnumbersforSumcheck-2?
對三個矩陣的現行校驗,壓縮成對一個矩陣的校驗,即:

對這個多項式進行稀疏矩陣的表示。?
矩陣多項式,從9個縮減為3個。?
Setb=1?
令b=1
FinalProcotol?
Marlininarkworks
參考
1.arkworksformarlin:https://github.com/arkworks-rs/marlin/blob/master/diagram/diagram.pdf
2.Marlin:https://eprint.iacr.org/2019/1047.pdf
3.COS20.Claim6.7(Fractal):https://eprint.iacr.org/2019/1076.pdf
4.paper5.2.1:https://eprint.iacr.org/2019/1047.pdf
關于我們
Sin7y成立于2021年,由頂尖的區塊鏈開發者和密碼學工程師組成。我們既是項目孵化器也是區塊鏈技術研究團隊,探索EVM、Layer2、跨鏈、隱私計算、自主支付解決方案等最重要和最前沿的技術。
微信公眾號:Sin7y
GitHub:Sin7y
Twitter:@Sin7y_Labs
Medium:Sin7y
Mirror:Sin7y
HackMD:Sin7y
HackerNoon:Sin7y
Email:contact@sin7y.org
來源:金色財經
Tags:VERHECSUMCHEOrder of the apeversecoincheck交易平臺Sumokoincoincheck交易平臺真假
當我們在2017年底啟動OpenSea時,我們就一直保持著一種現實態度——從一個買賣CryptoKitties的小眾社區,到一個人們可以自由探索全新經濟體系的目的地.
1900/1/1 0:00:00比特幣前傳:70年代公鑰傳奇比特幣前傳:去中心化的起源撰文:Peter‘pet3rpan’編譯:aididiaojp.eth,ForesightNews這是加密朋克運動形成的年代.
1900/1/1 0:00:00原文:CryptoAndrew推特用一籃子算穩作為抵押品的算穩。在進一步了解Hoar之前,這里我們需要把它分成2個部分:$USDH和$HRD.
1900/1/1 0:00:00TheBlock總共分析并統計了8個類別的101個YCombinator加密校友項目。原文標題:《一文速覽101個YCombinator孵化的Crypto項目》撰文:EdvinasRupkus,
1900/1/1 0:00:00BTC目前的操作意義并不大,沒什么波動,整個的走勢都是震蕩的,小周期也沒有結構,山寨幣種也沒什么合適的,暴漲的不建議追漲,當前走勢完整的就ATOM和KNC,可以關注下.
1900/1/1 0:00:009月22號凌晨解讀 按照提示操作的,18700和以太1315做多。在轉點前離場,是幸運的。靴子終于落地,確認75基點.
1900/1/1 0:00:00