BTC/HKD-0.35%
ETH/HKD-0.64%
LTC/HKD+0.26%
ADA/HKD+0.29%
SOL/HKD-0.54%
XRP/HKD-0.43%導語
本文為QuarkChain創始人兼CEO周期博士為其擔任顧問的項目提供的一套提高資金率的原理設計。目的在于分享DeFi設計思想并同更多DeFi愛好者進行交流,周期博士首先從對Uniswap的資金利用公式出發,分析了Uniswap采用的提高單個交易對資金利用率的方法,然后在這個基礎上設計了更多個幣種構建集合資金池的流動性原始方案,并分析了這種方式能夠帶來的優點如更高的資金利用率,更低的Gas和更高的LP回報。歡迎就本文的模型設計同周期博士進行交流。UniswapV2的簡要回顧
UniswapV2是最受歡迎和最成功的DEX,以交易對形式,通過曲線對成對資產進行定價并進行兌換,其原理如下:

Numen發布微軟漏洞解析,黑客可通過該漏洞獲取Windows完全控制權:6月9日消息,安全機構 Numen Cyber Labs 發布微軟 win32k 提權漏洞解析。Numen 表示,該漏洞系 win32k 提權漏洞,是微軟 Windows 系統層面的漏洞。通過該漏洞,黑客可獲取 Windows 的完全控制權。
Numen 指出,win32k 漏洞歷史眾所周知。但在最新的 windows11 預覽版中,微軟已經在嘗試使用 Rust 重構該部分內核代碼。未來該類型的漏洞在新系統可能被杜絕。
此前報道,5 月,微軟發布的補丁更新解決了 38 個安全漏洞,其中包括一個零日漏洞。[2023/6/9 21:25:55]
其中x和y是池中資產的余額。給定Δx,為了將Δx交換為Δy,UniswapV2將執行以下計算
ENS將推出區塊鏈原生的、可通過域名解析系統路由的頂級域名.box:6月7日消息,ENS開發者nick.eth發推稱,ENS將推出區塊鏈原生的、可通過域名解析系統路由的頂級域名.box。該域名系統中所有注冊和轉移都將在鏈上進行,NFT的所有者將同時擁有DNS和ENS域名。
據悉,.box域名可用于DID配置文件和錢包、去中心化的網站和消息傳遞、Web2網站和電子郵件、收藏與交易等。[2023/6/7 21:21:43]

這樣兌換后仍然滿足xy=k不變量,價格為

浪潮集團王偉兵:標識解析、標識密碼、區塊鏈是構建工業區塊鏈三個技術要素:金色財經現場報道,12月5日,2020世界區塊鏈大會于武漢舉辦,會上浪潮集團區塊鏈技術研究院首席架構師王偉兵演講表示,消費互聯網是實現人和人的連接的,工業互聯網從技術上看更偏重物,工業互聯網數量多,管理難度大,面向物的標識解析和密碼學適合應用。標識解析的本質是提供名稱映射的分布式數據庫,構建工業區塊鏈的三個技術要素是標識解析、標識密碼、區塊鏈。標識解析需要目錄服務、數據共享,標識密碼主要做設備身份認證、設備寫入鏈,區塊鏈則增強安全,完成可信交易。[2020/12/5 14:06:24]
UniswapV2的一個很大的特點是無需授權-任何人都能夠通過提供代幣創建一個兩種資產的交易對。例如,通過在池中提供x=1ETH和y=3000USDT,LP可以創建一個交易對,ETH最初定價為3000USDT/ETH。盡管UniswapV2獲得了廣泛采用,但UniswapV2的關鍵問題是其資金效率低,因為流動性分布在價格上。這意味著如果兩種資產的價格集中在一個相對較小的范圍內,池中沉淀大部分資產并沒有參與兌換,從而導致高滑點和LP較低的手續費收益。將流動性集中的UniswapV3
動態 | 以太坊域名服務ENS將加入多代幣支持,未來可解析至比特幣地址:go-ethereum和以太坊域名服務(ENS)核心開發者Nick Johnson今天在Twitter 宣布,已經提交了ENS以太坊域名的多代幣支持,該提議通過后ENS以太坊域名將支持解析域名到多個區塊鏈地址,其中甚至可以包括比特幣地址。這也意味著,ENS以太坊域名將可能成為跨鏈的域名系統,用戶可以通過一個域名在多個區塊鏈間互通,未來只需要向其他人展示自己的ENS以太坊域名即可。目前已經有多個數字加密貨幣錢包支持ENS以太坊域名,在使用以太坊錢包進行轉賬時,不需要再輸入冗長的以太坊0x 地址,而只需要輸入短地址即可。[2019/9/9]
UniswapV3通過一種稱為集中流動性的技術改善了低資金效率問題,該技術使用以下曲線:

分析 | USDT聽證會解析:瑞海君看幣觀點:一、預計聽證會圍繞的主題有如下兩個:
1.Bitfinex和Tether不顧美國法律和監管,為紐約州居民提供了相關服務。
2.Bitfinex和Tether之前在美國的業務,觸犯了美國的反洗錢法(這個才是對USDT具有巨大殺傷力的議題)。
二、?今晚可能達成的幾種結果:
1.BFX和Tether違規為美國居民提供服務罪名成立,會導致兩家共識會繼續被調查,且會被美國要求提供更多的運營資料,洗錢的事情沒結果,但是也要提交更多資料自正清白,這是利空!會導致USDT這個雷持續懸在整個幣圈的頭上,然后美國來一條新聞,幣圈震動一次,簡直就是噩夢。(概率中性)
行情影響:短暫反彈,然后繼續震蕩陰跌。
2.兩項罪名都沒結果,短暫利好,BFX繼續和美國扯皮,大家松一口氣暫時?,價格可能出現反彈。(可能性較大)
行情影響:短暫反彈,后市寬幅震蕩為主。
3.兩項罪名都成立,不可想像(可能性較小)!
行情影響:區塊鏈騙局。
洗錢罪名直接成立可能性也較小,調查沒那么快,所以請大家系好安全帶,等待靴子落地,兩只靴子到底如何落地,落地幾支,只有靜候今晚的聽證會了。[2019/7/29]
其中兌換的實際價格在范圍,p_a<p_b。如果設置p_a=0和p_b=+∞,V2本質上是V3的特例。在提供流動性時,UniswapV3會向LP詢問流動性的價格范圍。

這允許LP將流動性集中在目標價格范圍內,從而實現更高的資金效率。以穩定幣兌換為例,從下圖中,95%的流動性集中在價格區間,實現了比UniswapV2約2000倍的資金效率。由于流動性集中,兌換USDC/USDT的滑點遠低于V2,因此對于池中提供的相同數量的資產,相比V2LP可以收到更多的手續費獎勵。

由于流動性集中,UniswapV3的TVL增長非常順利,3個月左右達到2.5B。集中多資產的流動性
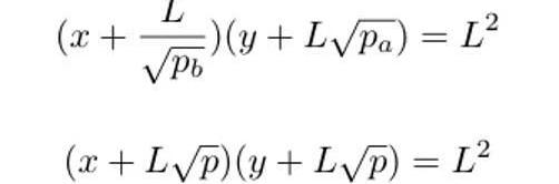
UniswapV3只為一對資產提供集中流動性。那么一個自然的問題是:「如果在一個資金池中集合多個資產會怎么樣?」通過集中更多資產的流動性,我們可以實現更高的資金效率,因為資產可以共享一個池中的流動性而不是各自的流動性。相比之下,在V3中,由于直接兌換的流動性不足,兌換可能會被路由到多個交易對。例如,交換TUSD->BUSD可能會被路由到TUSD->USDT->BUSD,這意味著交易者將支付更多的費用,滑點也隨之提高。所以核心問題是「多資產流動性集中的曲線應該是怎樣的?」遺憾的是,答案并不簡單,而是更為復雜。讓我們從從集中流動性能夠獲益最多的穩定幣兌換開始。假設兩個穩定幣的價格在之間,我們可以將V3曲線簡化為

其中=。簡化曲線的好處是它有點對稱。首先,讓我們先添加第三個穩定幣交易對,得到以下等式

請注意,三個資產的方程與兩個資產方程相比有一些細微變化:●等號右邊是L3而不是L2●等號左側我們使用p的立方根,而不是使用p的平方根。依靠這個等式,我們有一個關鍵結果:

命題1.給定池中任意數量的資產,{x,y,z},通過上圖曲線交換任意兩個代幣的價格會在的范圍內示例:三個幣種均勻分布的情況●3個穩定幣,取小數點后6位●x,y,z=,即每個資產在池中各有1M●p=0.999,即價格區間為由于三項相等,我們有:L=x/(1—?0.999)=2998.99977x請注意,與xy=k曲線相比,我們的資金效率約為2000倍。用10,000e6的代幣0交換代幣1將返回9999.96e6T1,曲線看起來像

●多個價格區間。例如,假設我們有p_0<p_1,LP可以選擇其流動性的價格范圍之一。因此,該算法將聯合求解以下方程以進行兌換。

●不同資產的不同價格范圍,其中的等式可能看起來像

結束語
集合資產的流動性是DEX中最熱門的話題之一,因為它具有以下好處:●更高的資金效率●降低滑點●更多LP收益UniswapV3是第一個為成對資產提供集中流動性的DEX。對于穩定幣兌換,資金效率可以提升至2000倍。我們也設計出了一個可以集中超過三個資產的流動性池:●在多種資產之間共享流動性●非常適合穩定幣兌換●可以成為同一資產穩定幣互換市場中的競爭性產品●用Solidity編寫的智能合約
Tags:SWAPUNIUniswapUSDCroxSwapdefi communityuniswapwallet教程usda幣多少人民幣
我們今天在互聯網上的體驗與20年前大不相同。你可能是通過關注帖子、電子郵件通訊或基于興趣的算法自動提出的建議來閱讀這篇文章的,這種交互范式就是我們通常所說的Web2.0,也就是我們現在所處的社交.
1900/1/1 0:00:00每當有人提到比特幣網絡是多么的緩慢和昂貴,最常見的反對比特幣論點是閃電網絡——“比特幣是更好的!”閃電網絡是即時的,而且不收費!”這是一個典型的轉移注意力的方法.
1900/1/1 0:00:00跨鏈橋是區塊鏈生態系統的重要部分。比如AxieInfinity的Robin跨鏈橋為該游戲創造了更大的交易量,Terra的跨鏈橋從三月份Terra網絡上線以來就積極參與其網絡.
1900/1/1 0:00:00播報數據由Greeks.liveDataLab格致數據實驗室和Deribit官網提供。市場對于本輪下跌反應寥寥,跌勢放緩,主要期限IV均出現下降,甚至多個期限IV低于下跌之前.
1900/1/1 0:00:00除了最常被提及的以太坊及幣安智能鏈外,一些新興的公鏈如Polygon、Terra、Avalanche、Fantom也逐漸站在前沿并引起人們的注意,上一期,我們通過FootPrint數據.
1900/1/1 0:00:00區塊鏈的關鍵在于創建一個平臺和設備的全球互聯網絡。盡管該網絡可以為我們提供便利,還能提高效率,但同時它也應該妥善結合隱私保護機制,從而維護公共利益.
1900/1/1 0:00:00