BTC/HKD-1.57%
ETH/HKD-3.21%
LTC/HKD-3.33%
ADA/HKD-3.93%
SOL/HKD-3.59%
XRP/HKD-2.93%嗨,大家好啊,我們回來啦!希望在我們悄悄建設的這段時間里,您在DeFi方面取得了比較好的收益。
我們努力研究智能合約代碼和審計,以及新的數學模型和策略。隨著我們越來越接近發布(發布計劃的消息也即將公布),我們正在為社區提供新的研究材料。
今天,我們想深入Uniswap V3的最深處,看看我們是否可以使用一些魔法從中提取一些隱藏的價值。
WETH/USDC池50% APY?這可能嗎?
我們想邀請您參加我們的理論之旅,該旅程從200天前開始,跨越了幾幕。我們會回到過去,看看我們可以從過去學到什么,以及我們如何改變未來。你準備好了嗎?那就讓我們從最初的Uniswap V3時代開始我們的20分鐘冒險。
2021年初,Uniswap V3向AMM引入了集中流動性的概念。與其在(0, ∞)的整個價格范圍內提供流動性(就像UniV2 LP提供者所做的那樣),流動性提供者現在可以將他們的代幣放入他們想要的任何價格范圍內。而且由于任何價格范圍都小于(0, ∞),他們可以從中賺取更多費用。聽起來很酷,對吧?好吧,顯然并不是每個人都對此感到滿意:
數據:USDC市場份額已從34.88%下降至23.05%:金色財經報道,在過去1年中,USDC市場份額已從34.88%下降至23.05%,市值從550億美元的峰值跌至290億美元。BUSD的市場份額從11.68%暴跌至4.18%,而Dai將其參與率保持在3.66%,低于2022年5月的4.05%。而USDT走勢相反,穩定幣市場主導地位從一年前的47.04%上升到65.89%。其市值飆升至831億美元、
在最近接受彭博社采訪時,Circle首席執行官JeremyAllaire將穩定幣市值下降歸咎于美國監管機構對加密貨幣的打擊。美國當前的環境似乎對Tether有利。[2023/5/29 9:48:02]
https://twitter.com/kaiynne/status/1479335005700562951?s=20&t=kTXr-XaAysZo5E9JBDfYbg
Uniswap Labs是第一個為其LP提供強大的流動性優化工具的 AMM(他們是真正的創新者和大智慧!)。但是突然之間,Uniswap V3的資本管理變得具有挑戰性。任何流動性提供者都需要為流動性提供選擇最佳價格范圍。無常損失、價格風險、內存池……所有這些討厭的細節開始變得重要。
國際貨幣基金組織高級法律顧問:全球加密監管需要協調而非照搬:金色財經報道,國際貨幣基金組織高級法律顧問 Marianne Bechara 表示,加密貨幣監管框架需要在國際范圍內進行協調,但也要根據當地差異進行調整。Bechara說,將所有加密貨幣放在同一個籃子里并在真空中看待它是不好的,存在一定程度的協調,但各個司法管轄區仍應有一定程度的空間來解決自己的問題。[2023/4/29 14:34:10]
專業做市商似乎可以處理它,甚至可以使用JIT等技術提取更多價值。但是那些只想買入并忘記它的人呢?
一種方法是將流動性置于(0, ∞)范圍內并忘記它。哇,這是一種解脫!但這不會失去一些寶貴的APY百分比嗎?我們能做得更好一點嗎?
等等……Hayden先生不就是在說這個嗎???
https://twitter.com/haydenzadams/status/1419715588323217412?s=20&t=CsLZJz_TuFPpymn9P4FD2w
孫宇晨:火必一季度實現 1.5 億美元收入:4月10日消息,孫宇晨發推稱,火必一季度實現 1.5 億美元收入,支出為 1.2 億美元,錄得 3000 萬美元盈利。此外,孫宇晨預測火必二季度收入將為 1.87 億美元,支出將為 7600 萬美元,并實現 1.11 億美元季度盈利。孫宇晨表示,火必一季度采取大量降本增效的措施,交易所業務處于整合狀態。[2023/4/10 13:55:04]
謎題的答案很簡單:
https://twitter.com/haydenzadams/status/1419773681824325637?s=20&t=5oVc2OZgx-CEH5OSgNKPYw
以下是它的詳細工作原理:
1. 將 UniV2價格曲線分成相等的虛擬價格范圍
2. 將一部分流動性放入當前覆蓋當前價格的范圍內
GMX與dappOS將為首批交互用戶發放2萬美元空投:3月17日消息,集成 dappOS SDK 的 GMX 平臺預覽版產品正式上線,支持用戶可以直接從 BSC、OP、Polygon 錢包無縫使用 GMX 功能。用戶與該版本的 GMX 交互將獲得$20,000 空投獎勵, 并享有 3 倍 GLP Staking 收益,以及推薦返傭。
據悉,dappOS 是 Binance 孵化的 Web3 操作系統,日前 Perpetual、Benqi、QuickSwap、MakerDao、 Avalanche、KyberSwap、zkSync 等頭部協議也已與 dappOS 達成深度合作。[2023/3/17 13:10:47]
3. 將所有其他代幣放入Convex、Ribbon和Yearn等收益協議中,并獲得額外收益
4. 當價格從一個范圍轉到另一個范圍時,從前者中提取流動性并將其投入后者
美元指數DXY日內跌超0.50%,現報109.78:金色財經報道,美元指數DXY日內跌超0.50%,現報109.78。[2022/9/8 13:14:56]
現在我們已經了解了Hayden戰略的精髓,讓我們看看它是如何運作的。
燈光,相機,行動!

太好了……只需少量資金,我們就可以完全復制UniV2倉位,但可以從您倉位中的所有其他資本中獲得額外收益。這似乎是一場巨大的勝利,但我們還能做得更好嗎?
好的,所以我們可以在上一幕中擊敗UniV2。但是我們能用UniV3打敗UniV3本身嗎?答案是肯定的!
不出所料,對于任何 UniV3 價格范圍,我們都可以:
1. 將UniV3價格范圍分成相等的虛擬價格范圍
3. 將所有其他代幣放入Compound、Aave和Yearn等收益協議中,并獲得額外收益
在這里,我們再次使用全能的VMF策略:

這就是正確的咒語:

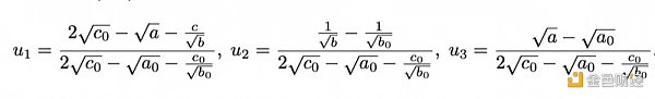
假設我們使用1個單位的財富在[a0, b0]區間為Uni V3提供流動性。那么集中的UniV3策略將是:
其中u_1是提供給UniV3的流動性的一部分,u_2, u_3是提供給生成單代幣策略的流動性的一部分,[a,b]是[a0,b0]的子集,例如 a0
UniV3打敗UniV3,聽起來很酷,對吧?
但在我們以起立鼓掌結束這一幕之前,我們需要在這里解決一個小細節。如果你仔細閱讀,可能會有一件事潛伏在你的腦海中,讓你感到不舒服——策略的第4步。
“ 當價格從一個范圍變為另一個范圍時,從前者中提取流動性并投入后者。”好吧,我們不能在鏈上的UniV3價格變化上觸發它,對吧?這必須通過外部調用者(也許是守衛者)來完成,這可能會錯過再平衡事件,并且價格可能會遠離具有流動性的價格范圍。在這種情況下,該策略與UniV3不完全一樣。假設我們在5月21日ETH從x跌至y時價格暴跌了40%。我們可以想象會有這樣一條Twitter:

總而言之,我們有一個這樣的VMF策略:
1. 賺取與UniV3倉位相同的費用
2. 通過在Compound、Aave、Yearn等收益協議中添加自由流動性來獲得額外收益。
3. 當價格瘋狂時,無常損失受到保護
好的,說了那么多數學和公式!讓我們來談談房間里的大象,一個統治這個世界的小問題,一個推動所有成功的小問題——它對我有什么好處?
事實證明,這種策略的APY在USDC-WETH對上可以達到驚人的58%,在WBTC-WETH 對上達到18%:


在這里,雙代幣策略的APY是通過0xAlexEuler的方法計算的,這對于加密投資者來說看起來更有效(計算兩個代幣之一的APY可以獲得更高的APY,但易于操作——在Twitter中閱讀更多內容。
現在想象一下我們接下來可以做什么?一種優于普通UniV3投資的VMF策略。建立一個自動執行此策略的保險庫,所以對于流動性提供者來說只是一勞永逸?肯定的事。但還有更多……
事實上,任何基于UniV3的主動管理策略都可以構建在VMF策略之上,并具有……更高的收益和……更低的無常損失!
我們想讓這部戲有一個開放式結局。我知道每個人都討厭開放式結局。但!它們留下了更多的想象空間,這在現在已經很少見了。
Tags:UNISWAPUSDAPYuniswapwallet教程LimitSwapgusd幣會因為什么漲跌APYSwap
Tableland Rigs 是近期 NFT 市場中最耀眼的新星之一。項目上線后 48 小時內,其地板價就成功突破了 1 ETH.
1900/1/1 0:00:00現在來看,似乎Cosmos一開始看起來“很蠢”的代幣經濟是可行的。因為初始超過67%的流動代幣加上靈魂人物Jae Kwon出走,導致項目方對于Cosmos本身的控制力接近于無,使得Cosmos.
1900/1/1 0:00:00NFT一直是我們Labs關注的課題之一,今天和大家聊下NFT2.0標準和可能的藍籌項目。在政府、大IP、大廠紛紛布局元宇宙的時代,元宇宙被普遍認為將能夠創造新一代互聯網.
1900/1/1 0:00:00過去在區塊鏈上,轉移的概念通常是按順序進行的,用戶會為了發送或是接收資產,必須得在錢包中等待一段時間后才能真正收到這些金額.
1900/1/1 0:00:00導讀 流動性是指資產被買入或賣出并輕松,快速,無成本/低成本地轉換為現金或其他資產/通證的能力.
1900/1/1 0:00:00頭部 NFT 項目“無聊猿”BAYC 衍生出生態系統正在不斷擴張。就在上個月,他們發布了基于以太坊區塊鏈的全新 ApeCoin,該代幣可以支持 Web 3 應用.
1900/1/1 0:00:00