BTC/HKD-3.22%
ETH/HKD-8.74%
LTC/HKD-4.91%
ADA/HKD-6.59%
SOL/HKD-6.48%
XRP/HKD-6.18%作者介紹:
0xmc@0xreviews:機制審計、產品設計、密碼經濟學獨立研究員。
0xjezex@0xreviews:代幣經濟學獨立研究員,初級Solidity工程師,倫敦帝國理工學院金融科技碩士生。
0xstan@0xreviews:獨立開發者,DappLearning核心貢獻者。
paco@perp.com:Solidity開發者、安全研究員、DeFi愛好者。
前言
Curve穩定幣最難的部分是LLAMMA。LLAMMA參考了Uniswapv3中的一些原則。但是,白皮書中的價格與Uniswapv3白皮書中的算法不同。我們將統一這兩個項目,并嘗試了解CurveCEO是如何設計這個演算法。
用Uniswapv3作為參考
本文中價格的定義與Uniswapv3互為倒數。因此,我們修改了Uniswapv3白皮書中的公式,讓它與本文保持一致。簡而言之,LLAMMA試圖讓Uniswapv3中的一切都變得動態,以便為crvUSD債務人和清算人提供更適當的價格。
恒定乘積公式(ConstantProductFomula)比較
Uniswapv3白皮書中的公式(2.2):

美SEC委員:美國加密法不能假設一切都是金融資產??:金色財經報道,美國證券交易委員會委員Hester Peirce在澳大利亞區塊鏈周上被問及她將如何監管加密貨幣,Peirce表示,我認為我們必須確保無論采用何種監管框架,都不能僅僅假設一切都是金融資產 。雖然加密貨幣被認為是非常金融化的術語,但還存在其他用途 ,例如使人們無需中心化實體即可進行交互。這在金融領域很有用,但在構建社交媒體平臺或其他任何方面也很有用。[2023/6/29 22:07:32]

圖一:Uniswapv3虛擬流動模擬
Curve穩定幣白皮書中的公式(1):


圖二:有外部價格來源的AMM
在這裡Pcd代表Pcurrent_down,Pcu代表Pcurrent_up
而對應關係為:

黃立成過去24小時在Blur出售536枚NFT:金色財經報道,據PeckShield監測顯示, 黃立成(推特賬號Machi Big Brother)為準備Blur空投,在過去24小時已在Blur出售536枚NFT,包括342枚Otherdeed、63枚CloneX、54枚MAYC、21枚BAKC、13枚Azuki、12枚Moonbirds、2枚PudgyPenguins和BAYC等。[2023/2/22 12:22:37]
對應的恒定乘積公式為:

而在這之間:

流動性計算公式對應
Uniswapv3白皮書中的公式(6.7):

由于它們的價格定義之間存在倒數關係,對應的公式為:

數據:一地址在半小時前將6314枚BTC從未知錢包轉入幣安:1月19日消息,據Whale Alert監測顯示,半小時前一地址將6314枚BTC(約1.3億美元)從未知錢包轉入幣安。[2023/1/19 11:21:32]
此公式的一個具體應用是:

平方展開可以得到:

從上面的公式我們很容易的可以了解,當y0保持不變,Pcd和Pcu數值越接近,相對應的流動性I則越大。
換句話說:

流動性不可能是無限的,在UniswapV3中對應最小的tick會限制L的大小。
由此可以推斷在LLAMMA中,我們還需要定義一個指標來衡量價格之間的最小差異,來繼續Uniswapv3和Curve的類推。
對應最小差價

比特幣挖礦協議Stratum發布V2參考實現版本:10月11日消息,比特幣挖礦協議Stratum發布開源Stratum V2參考實現(SRI)版本,可立即用于試點測試。Stratum將在之后進行更新,允許礦工選擇自己的工作并通過Job Negotiation協議與礦池進行協商。
Stratum表示,SRI已經開發兩年,獲得BitMEX、Foundry、Galaxy Digital、Spiral和Summer of Bitcoin等支持。[2022/10/11 10:31:17]
從A的定義中可以看出?,當p↓和p↑越接近時,A則越大,流動性集中度越高:

Uniswapv3中,只有能被tickSpacing整除的tick才能被預設。因此,tickSpacing決定了LP分配流動性的最低價格范圍。tickSpacing越小,價格范圍越窄、越精確。在Uniswapv3中,不同的費用等級決定了不同的tickSpacing。
然而,crvUSDLLAMMA不需要那麼多tickSpacing。由于LLAMMA僅有ETH-crvUSD,因此只需要讓每一個tickSpacing=100basepoint。?
來自Uniswapv3的公式(6.1):
比特幣礦企Core Scientific簽訂75兆瓦托管協議:7月26日消息,比特幣礦企Core Scientific今天宣布已簽訂托管協議,將其托管業務增加75兆瓦。
在ASIC服務器全面部署后,最近簽署的托管協議將產生約5000萬美元的年收入。此外,該協議還提供了足夠的預付款項,以資助75兆瓦能源所需的額外基礎設施。服務器部署將在今年第三季度開始,全面部署將在2022年完成。隨著這些設備的增加,公司預計年底前將在其數據中心運行大約325000個ASIC服務器(結合了自挖礦和托管)。(Business Wire)[2022/7/26 2:39:01]

在LLAMMA中,A=100,來自Curve穩定幣白皮書的公式(11):

設置n=-i,A=100,我們會得到:

設計Pcd和Pcu
我們希望LLAMMA具有以下屬性:當ETH價格上漲時,礦池購買ETH。當ETH下跌時,礦池出售ETH。在這樣的機制下,我們把Pcd和Pcu定義為Po的函數并且比線性函數更陡峭,因此它們的增長率會比Po更快。同時從圖中可以看出兩條曲線Pcu和Pcd分別通過兩點(P↓,P↓)和(P↑,P↑)。滿足以上要求的Pcd和Pcu其實有很多曲線。通用公式為:

當m<n
讓我們從最簡單的例子開始:

把Pcu和Pcd帶入I的平方展開:

然后f2可以計算為:

不難發現f2在這種假設下很難理解和計算。如果Pcu和Pcd是?Po的三次函數:

把Pcu和Pcd帶入I的平方展開:

重新計算f2:

可以看出,當?Pcu和Pcd是Po的三次函數,整個數學形式就簡單多了。去掉了平方根項,計算方便多了。如果接受更高的訂單,則AMM的價格和Po將相差很大,因此購買ETH的成本會更高,而導致更大的清算損失。總之,把Pcu和Pcd定義為Po的三次函數是一個更好的選擇。
其他參數的推導
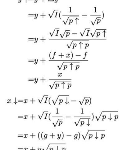
Pcu和Pcd是關于Po的三次函數,取特別數值Po=P↑,不難得到Y=Y0和X=0,于是:

鑒于I的公式,我們可以計算f和g:

在這邊,我們最終得到完整的恒定乘積公式:

將上方公式轉化為Y0二次方程式:

用一個未知數的二次方程求解Y0:

如果價格變動的夠慢讓預言機價格Po完全有能力遵循它,給定X和Y,使用Uniswapv3的計算公式,是有可能計算出ETH的Y↑是多少或美元的X↓最終將處于的區間內:

參考出處:Adams,Hayden,etal."Uniswapv3core."Tech.rep.,Uniswap,Tech.Rep,2021fromhttps://uniswap.org/whitepaper-v3.pdfEgorov,Michael,andCurveFinance.Curvestablecoindesign.Technicalreport,CurveFinance,Tech.Rep,2022fromhttps://github.com/curvefi/curve-stablecoin/blob/master/doc/curve-stablecoin.pdf
01ETH鏈上數據繼續回暖 自以太坊大合并以來,ETH總量非但沒有增加,反而通過燃燒減少了23,700多枚,目前年通脹率為-0.053%.
1900/1/1 0:00:00有一個讓我們印象深刻的觀察結果,關于對Arweave的大量無意的錯誤信息正在流傳。讓我們深入探討Arweave1.Arweave只是一個存儲層?。網絡的作用遠不止于此.
1900/1/1 0:00:00注:本文來自@0xShinChannn推特,MarsBit整理如下:1/在推特上,我們經常看到這樣的話:「如果購買國庫券可以獲得4-5%的年化收益.
1900/1/1 0:00:00市場觀點: 1、宏觀流動性 貨幣流動性趨緊。美國1月CPI同比上升6.4%,為連續第七個月放緩,預期6.2%,前值6.5%.
1900/1/1 0:00:00“亞洲正在競標”——至少這是目前加密Twitter上正在發生的故事情節。部分原因是香港的新法律為加密貨幣提供了明確的準入條件.
1900/1/1 0:00:002月13日,紐約金融服務部命令穩定幣發行商Paxos停止發行更多BUSD,對此幣安已發布聲明稱Paxos將繼續管理該產品的贖回.
1900/1/1 0:00:00